Найти в Дзене

Чему равна единица в бесконечной степени?

Математика онлайн. Доступно о сложном Здравствуйте, уважаемые любители математики! Если основание степенной функции стремится к единице, а показатель - к бесконечности, то, для краткости, говорят о единице в степени бесконечность. Давайте рассмотрим четыре простейших примера, в каждом из которых основание степени стремится к единице, а показатель - к бесконечности. Как известно, подобные пределы вычисляются при помощи второго замечательного предела. Итак, первый пример. Формула (второй замечательный предел) есть в галерее. Теперь второй пример. В показателе степени возьмем 2n, т.е. уберем квадратный корень. Для удобства желтым цветом помечены участки, на которых есть изменения. Видим, что ответ совсем другой. Третий пример. Теперь в показателе степени возьмем n в квадрате. Все остальтное - такое же, как и раньше. Четвертый пример. Возьмем за основу третий пример, но в показателе степени поставим знак "минус". Видим, что во всех четырех примерах была единица в степени бескон

Математика онлайн. Доступно о сложном

Что будет, если единицу возвести в бесконечную степень?
Что будет, если единицу возвести в бесконечную степень?

Здравствуйте, уважаемые любители математики!

Если основание степенной функции стремится к единице, а показатель - к бесконечности, то, для краткости, говорят о единице в степени бесконечность.

Давайте рассмотрим четыре простейших примера, в каждом из которых основание степени стремится к единице, а показатель - к бесконечности.

Как известно, подобные пределы вычисляются при помощи второго замечательного предела.

Итак, первый пример.

Формула (второй замечательный предел) есть в галерее.

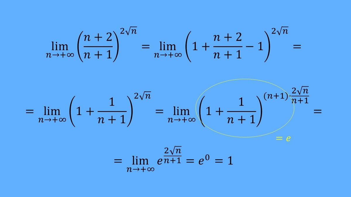
Теперь второй пример.

В показателе степени возьмем 2n, т.е. уберем квадратный корень.

Здесь единица в степени бесконечность равна числу Эйлера во второй степени
Здесь единица в степени бесконечность равна числу Эйлера во второй степени

Для удобства желтым цветом помечены участки, на которых есть изменения.

Видим, что ответ совсем другой.

Третий пример.

Теперь в показателе степени возьмем n в квадрате. Все остальтное - такое же, как и раньше.

В этом случае единица в степени бесконечность дает бесконечность
В этом случае единица в степени бесконечность дает бесконечность

Четвертый пример.

Возьмем за основу третий пример, но в показателе степени поставим знак "минус".

Результат возведения в степень - нуль
Результат возведения в степень - нуль

Видим, что во всех четырех примерах была единица в степени бесконечность, однако значения пределов получились разные.

Таким образом, единица в бесконечной степени - неопределенность.

Все статьи серии "Лайфаки студентам"

Рубрикатор канала

О канале

Тесты по математике

Не забудьте подписаться на канал, если

- Вам интересны вопросы, которые здесь разбираются;

- Вам могут потребоваться консультации по математике (подробнее здесь).