Найти в Дзене

Светотехническое проектирование по правилам. Ч.4. Объединенный показатель дискомфорта UGR.

При #проектировании освещения , помимо количественных показателей освещения (таких как освещенность, см. часть 1), нормируются также и качественные. Пульсации освещения , а также цветовую температуру и цветопередачу мы рассмотрели ранее. В этом посте мы рассмотрим, как оценить дискомфорт от освещения в количественных величинах, как он нормируется и как его подсчитать. Ослепление, дискомфорт и UGR. Я думаю, всем нам доводилось вольно или невольно смотреть прямо в светильник. После такого взгляда порой необходимо некоторое время, что вообще чего-то увидеть (возникновение вуалирующей пелены), а также попадание блеского источника света в глаза вызывает зрительный дискомфорт. Помимо очевидных долговременных последствий, такого как снижение качества зрения у человека, в ближайшей перспективе ощущение дискомфорта приводит к отвлечению внимания, уменьшению сосредоточенности, увеличивается его зрительная и общая утомляемость на рабочем месте. Поэтому строительные и санитарные нормы обязывают
Оглавление

При #проектировании освещения , помимо количественных показателей освещения (таких как освещенность, см. часть 1), нормируются также и качественные. Пульсации освещения , а также цветовую температуру и цветопередачу мы рассмотрели ранее. В этом посте мы рассмотрим, как оценить дискомфорт от освещения в количественных величинах, как он нормируется и как его подсчитать.

Кто-то не подумал о слепящем действии (изображение из открытых источников)
Кто-то не подумал о слепящем действии (изображение из открытых источников)

Ослепление, дискомфорт и UGR.

Я думаю, всем нам доводилось вольно или невольно смотреть прямо в светильник. После такого взгляда порой необходимо некоторое время, что вообще чего-то увидеть (возникновение вуалирующей пелены), а также попадание блеского источника света в глаза вызывает зрительный дискомфорт. Помимо очевидных долговременных последствий, такого как снижение качества зрения у человека, в ближайшей перспективе ощущение дискомфорта приводит к отвлечению внимания, уменьшению сосредоточенности, увеличивается его зрительная и общая утомляемость на рабочем месте. Поэтому строительные и санитарные нормы обязывают учитывать вероятность попадания блеского источника в поле зрения человека. Это следующие нормируемые параметры:

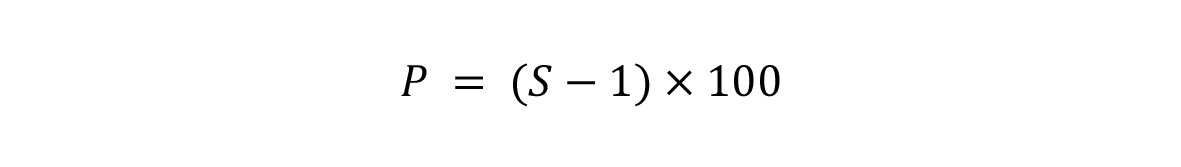
Показатель ослепленности : Критерий оценки слепящего действия осветительной установки, определяемый выражением

-2

где S – коэффициент ослепленности, равный отношению пороговых разностей яркости при наличии и отсутствии слепящих источников в поле зрения. (СП.52.13330.2011, приложение Б).

Показатель дискомфорта: критерий оценки дискомфортной блескости, вызывающей неприятные ощущения при неравномерном распределении яркостей в поле зрения, определяемый согласно EN 12464-1:2002 по формуле

-3

где - Li яркость блеского источника, кд/м2 ; ω - угловой размер блеского источника, стер;

pi - индекс позиции блеского источника относительно линии зрения; La - яркость адаптации, кд/м2. (СП.52.13330.2011, приложение Б).)

В настоящий момент в действующих нормах используется

Объединенный показатель дискомфорта UGR: Общеевропейский критерий оценки дискомфортной блескости, вызывающей неприятные ощущения при неравномерном распределении яркостей в поле зрения, определяемый по формуле:

-4

Объединенный показатель дискомфорта UGR связан с показателем дискомфорта М по формуле:

-5

(СП.52.13330.2011, приложение Б)

UGR наглядно. (изображение из открытых источников)
UGR наглядно. (изображение из открытых источников)

На что обратить внимание.

Во-первых, т.к. яркость является векторной величиной, то и UGR (и, соответственно, M) является величиной векторной, т.е. имеют направление. Иначе говоря, важна не только точка, в которой находиться наблюдатель, но и направление его зрения. Это может оказаться важным при проведении расчетов UGR(см. ниже).

Во-вторых, если по каким-то отраслевым нормам вам потребуется именно M или P, а не UGR, то простым делением UGR на 0,3 обойтись будет нельзя, т.к. зависимость между ними логарифмическая. Впрочем, ГОСТ 33392-2015 предписывает пользоваться следующими таблицами для перевода величин

-7

Как нормируется.

Согласно действующему СП.52.13330.2016 UGR внутри зданий должен быть менее значений, прописанных в таблицах 4.1, 4.2 и приложения «Л». Также необходимо обратить внимание на п.п.7.2.10 и 7.3.7, в которых утверждается, что объединенный показатель дискомфорта не ограничивается для помещений, длина которых не превышает двойной высоты установки светильников над полом. Иначе говоря, в офисе 5х5 о дискомфорте от потолочных светильников можно не беспокоиться.

Обычное нормируемое значение UGR для офисных помещений – 21. Однако следует быть внимательными – для компьютерных залов, некоторых помещений банков, школ, детских садов и других нормируемый UGR– не более 14.

Как рассчитать объединенный показатель дискомфорта UGR.

Едва ли кому-нибудь придет в голову воспользоваться приводимыми выше формулами для расчета UGR на калькуляторе вследствие нетривиальности нахождения даже исходных данных для этих формул. Даже в стародавние времена для этого использовался инженерно-табличный метод. Сейчас для этого существует разнообразное ПО, например DIALux. Однако тут есть некоторые нюансы. Некоторые производители, особенно высокого качества, в характеристиках своих светильников прописывают таблицы UGR. В этом случае никаких специальных расчетов делать не надо.

Однако так бывает не всегда. В этом случае в «резюме помещения» не отображаются данные расчета UGR и их надо проводить дополнительно.

Для этого необходимо выставить точку UGR. Но делать это надо не в произвольном месте, а в том, где должен обеспечиваться UGR. Согласно п.7.3.7 СП.52.13330.2016, UGR должен обеспечиваться у торцевой стены на центральной оси помещения на высоте 1,2 м от пола.

Источники:

СП.52.13330.2016 ЕСТЕСТВЕННОЕ И ИСКУССТВЕННОЕ ОСВЕЩЕНИЕ. Актуализированная редакция СНиП 23-05-95*

СП.52.13330.2011 ЕСТЕСТВЕННОЕ И ИСКУССТВЕННОЕ ОСВЕЩЕНИЕ. Актуализированная редакция СНиП 23-05-95* (старая редакция)

ГОСТ 33392-2015 Здания и сооружения. Метод определения показателя дискомфорта при искусственном освещении помещений

Справочная книга по светотехнике под редакцией Ю.Б. Айзенберга 2 и 3 изд.

см. также

  • Ч.1. Освещенность. Особенности нормирования освещения в СП.52.13330.2016.
  • Ч.2. Коэффициент пульсации.
  • Ч.3. Цветовая температура и цветопередача.
  • Ч.5. Цилиндрическая и полуцилиндрическая освещенность.
  • Ч.6. Яркость. Особенности нормирования освещения в СП.52.13330.2016.
  • Ч.7. Равномерность освещения. Особенности нормирования освещения в СП.52.13330.2016.
  • Ч.8.Коэффициент эксплуатации. Особенности нормирования освещения в СП52.13330.2016
  • Ч.9. Энергоэффективность и энергосбережение.

Краткие обзоры параметров:

  • Ч.10.1. СП.52.13330.2016. Краткий обзор количественных параметров освещения.
  • Ч.10.2. СП.52.13330.2016. Краткий обзор качественных параметров освещения.
  • Ч.10.3. СП.52.13330.2016. Обзор технических коэффициентов.

Критика и предложения:

  • Ч.11. Критика СП52.13330.2016 "ЕСТЕСТВЕННОЕ И ИСКУССТВЕННОЕ ОСВЕЩЕНИЕ."
  • Ч.12. Пожелания (на основе критики) к СП52.13330.2016.

Уважаемые коллеги! Если вы нашли ошибку или неточность, то напишите об этом - обсудим.

(c) Малинин Владимир, 18.09.2020 г

Статья была полезной? Ставь лайк.