Найти в Дзене

Вычисляем интеграл при помощи простейших геометрических построений

Математика онлайн. Доступно о сложном Здравствуйте, уважаемые любители математики! Этот интеграл можно было бы вычислить при помощи введения нескольких новых переменных. Но мы поступим по-другому. Вспомним, что определенный интеграл равен площади криволинейной трапеции под графиком подынтегральной функции. Выпишем ее и немного преобразуем: Дополним второе и третье слагаемые до полного квадрата разности. Свернем формулу и, для удобства, поменяем слагаемые местами. Видим, что получилось уравнение окружности с центром в точке (1;0) и радиусом R=1. Так как в задании корень стоял со знаком "+", то y>0. Следовательно, возьмем только верхнюю половину окружности. Таким образом, интеграл равен площади половины круга. Задача - из книги Говорова В.М. и др. "Сборник конкурсных задач по математике". Она предлагалась на устном экзамене в КГУ в 1981 году. Не забудьте подписаться на канал, если - Вам интересны вопросы, которые здесь разбираются; - Вам могут потребоваться консультации по мат

Математика онлайн. Доступно о сложном

Иллюстрации автора
Иллюстрации автора

Здравствуйте, уважаемые любители математики!

Этот интеграл можно было бы вычислить при помощи введения нескольких новых переменных.

Но мы поступим по-другому.

Вспомним, что определенный интеграл равен площади криволинейной трапеции под графиком подынтегральной функции.

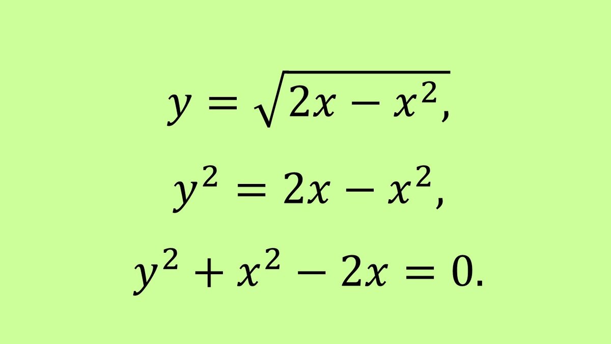
Выпишем ее и немного преобразуем:

-2

Дополним второе и третье слагаемые до полного квадрата разности. Свернем формулу и, для удобства, поменяем слагаемые местами.

-3

Видим, что получилось уравнение окружности с центром в точке (1;0) и радиусом R=1.

Так как в задании корень стоял со знаком "+", то y>0. Следовательно, возьмем только верхнюю половину окружности.

-4

Таким образом, интеграл равен площади половины круга.

-5

Задача - из книги Говорова В.М. и др. "Сборник конкурсных задач по математике". Она предлагалась на устном экзамене в КГУ в 1981 году.

Не забудьте подписаться на канал, если

- Вам интересны вопросы, которые здесь разбираются;

- Вам могут потребоваться консультации по математике (подробнее здесь).

Другие статьи серии "Нестандартные задачи"

Рубрикатор канала

О канале

Тесты по математике