Добавить в корзинуПозвонить
Найти в Дзене

Бытовая головоломка: какую часть пола покрывает плитка

Определите, сколько процентов площади пола (зеленого квадрата) покрывают эти четыре плитки (красные квадраты). Ждём ваших ответов в комментариях. Головоломка может показаться сложной, но на самом деле решается она просто и красиво. Решение 1. Складываем три красных плитки в один ряд так, чтобы получился прямоугольник. 2. Предположим, сторона плитки имеет длину 1 дм. Тогда полученный прямоугольник имеет стороны 1 дм и 3 дм. 3. Вершины прямоугольника лежат на синей окружности. А значит, его диагональ является диаметром этой окружности. Применив теорему Пифагора, вычисляем диагональ прямоугольника: 4. Исходя из рисунка очевидно, что диаметр синей окружности равна стороне зеленого квадрата. Вычисляем площадь пола (зеленого квадрата): 5. Площадь четырех красных плиток равна 4 дм, а площадь пола – 10 дм. Очевидно, что плитки занимают 40% пола. Головоломка решена! Читайте также: Только для любителей геометрии: треугольник 13-14-15. Найдите площадь круга. 👍 Ставьте лайк, если вам понравилось!

Определите, сколько процентов площади пола (зеленого квадрата) покрывают эти четыре плитки (красные квадраты). Ждём ваших ответов в комментариях.

Головоломка может показаться сложной, но на самом деле решается она просто и красиво.

Решение

1. Складываем три красных плитки в один ряд так, чтобы получился прямоугольник.

2. Предположим, сторона плитки имеет длину 1 дм. Тогда полученный прямоугольник имеет стороны 1 дм и 3 дм.

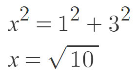
3. Вершины прямоугольника лежат на синей окружности. А значит, его диагональ является диаметром этой окружности. Применив теорему Пифагора, вычисляем диагональ прямоугольника:

-2

4. Исходя из рисунка очевидно, что диаметр синей окружности равна стороне зеленого квадрата. Вычисляем площадь пола (зеленого квадрата):

-3

5. Площадь четырех красных плиток равна 4 дм, а площадь пола – 10 дм. Очевидно, что плитки занимают 40% пола. Головоломка решена!

Читайте также: Только для любителей геометрии: треугольник 13-14-15. Найдите площадь круга.

👍 Ставьте лайк, если вам понравилось!

✍️ Подписывайтесь на наш канал

👀 Следите за новыми постами!