Найти в Дзене

Парадоксы в теории вероятностей

Теория вероятностей...
Все мы сталкивались с этим понятием ещё в школе, ведь теория вероятностей это целый раздел математики, который изучает случайные события и их свойства. Некоторое из нас после школы сталкивались с ней в институте, и наверняка многим теория вероятностей показалась весьма непростой в изучении.

Теория вероятностей...

Все мы сталкивались с этим понятием ещё в школе, ведь теория вероятностей это целый раздел математики, который изучает случайные события и их свойства. Некоторое из нас после школы сталкивались с ней в институте, и наверняка многим теория вероятностей показалась весьма непростой в изучении.

Хотя при первом знакомстве все кажется простым.

В мешке лежит 3 яблока и 2 апельсина, с какой вероятностью первый фрукт, который вы достанете из этого мешка окажется яблоком.

Одна формула, простейшие вычисления и ответ получен.

Но чем глубже погружаешься в изучение теории вероятностей, тем более сложными становятся вычисления, появляются все новые и новые формулы, которые необходимо запоминать и понимать когда и какой формулой надо пользоваться...

Теория вероятностей - это мощный инструмент в руках грамотного математика, но когда к вероятностям событий начали серьезно относиться, как к науке. Самой ранней книгой по теории вероятностей считается «Книга об игре в кости» (De Ludo Аlеае) Джероламо Кардано (1501–1576 гг.), которая в основном посвящена игре в кости. После чего теорию вероятностей начали изучать различные учёные. По мере её изучения стали появляться различные парадоксы. Некоторые из них успешно решены, некоторые до сих пор заставляют учёных ломать свои головы. В этой статье я предлагаю познакомиться с некоторыми забавными парадоксов.

Парадокс де Муавра

Все мы знаем, что при бросании монетки вероятность выпадения орла равна вероятности выпадения решки. Это говорит нам о том, что чем большее количество раз мы подбросили монету, тем более равным будет количество выпадений орла и решки.

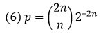
Пока что все просто, но парадокс заключается в том, что чем больше мы подкидываем монету тем меньше вероятность того, орел выпадет ровно столько же раз сколько выпала решка.

Посмотрите сами, при 6 бросаниях монеты вероятность выпадения 3 орлов равна 30%; при 100 бросаниях вероятность выпадения 50 орлов равна 8%; при 1000 бросаний вероятность выпадения 500 орлов составляет менее 2%. В общем случае, когда монету бросают 2n раз, вероятность того, что орел выпадает ровно n раз, равна

-2

Вот и получается, что с одной стороны вероятность того, что при увеличении числа бросании монеты количество выпадений орла равно числу появившихся решек, стремится к 1. С другой стороны, вероятность того, что число орлов будет в точности равно числу решек, стремится к нулю.

Вообще в теории вероятностей существует множество парадоксов связанных с монеткой.

-3

Еще одним из таких парадоксов является Ошибка Игрока.

Также он известен как ложный вывод Монте-Карло.

Заключается он в том, что человек не осознаёт на интуитивном уровне того факта, что вероятность каждого последующего исхода не зависит от предыдущих исходов случайного события.

Простыми словами это можно объяснить на примере монетки.

Вы с другом подбрасываете монету, если выпадает орел то деньги получаете вы, в противном случае ваш друг. Вот уже 5 раз подряд выпадает решка, вы проиграли круглую сумму. Но теперь то точно выпадет решка думаете вы, вероятность этого события явно выше 50%. На самом деле это не так. Не зависимо от предыдущих результатов вероятность выпадения орла или решки всегда одинакова, и равна она 50%.

Как я говорил, существует множество различных парадоксов теории вероятностей. Некоторые из низ простые для понимания, а некоторые сложно понять даже после нескольких прочтений.