Добавить в корзинуПозвонить
Найти в Дзене
Control myLab

Как приготовить раствор с нужной концентрацией?

В лабораторной практике одна из самых популярных задач – приготовление раствора заданной концентрации. В данной статье мы рассмотрим несколько способов определения необходимой массы растворяемого вещества, в зависимости от набора исходных параметров. 1. Допустим требуется приготовить m1 граммов раствора с массовой концентрацией W (%). Для этого нам необходимы две формулы: где х—масса растворяемого вещества, г; m2 — масса воды, г. 2. Если нужно приготовить определенный объем V (мл) раствора концентрации W, находят по таблицам плотность р (в г/см3) раствора данного вещества c требуемой концентрации. Поскольку А = V*p, для расчета получим следующую формулу: Необходимая масса воды вычисляется, как и в первом примере по формуле: 3. Если растворяемое вещество является кристаллогидратом, т. е. содержит кристаллизационную воду, для расчета необходимого его количества используют формулу: где X— необходимая масса кристаллогидрата, г; M1—мольная масса кристаллогидрата; М2—мольная масса вещества б

В лабораторной практике одна из самых популярных задач – приготовление раствора заданной концентрации. В данной статье мы рассмотрим несколько способов определения необходимой массы растворяемого вещества, в зависимости от набора исходных параметров.

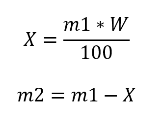
1. Допустим требуется приготовить m1 граммов раствора с массовой концентрацией W (%). Для этого нам необходимы две формулы:

где х—масса растворяемого вещества, г; m2 — масса воды, г.

2. Если нужно приготовить определенный объем V (мл) раствора концентрации W, находят по таблицам плотность р (в г/см3) раствора данного вещества c требуемой концентрации. Поскольку А = V*p, для расчета получим следующую формулу:

-2

Необходимая масса воды вычисляется, как и в первом примере по формуле:

-3

3. Если растворяемое вещество является кристаллогидратом, т. е. содержит кристаллизационную воду, для расчета необходимого его количества используют формулу:

-4

где X— необходимая масса кристаллогидрата, г; M1—мольная масса кристаллогидрата; М2—мольная масса вещества без кристаллизационной воды.

Необходимая масса воды вычисляется, как и в первом примере по формуле:

-5

4. При приготовлении раствора объемом V (в мл) заданной нормальности N, вычисляют значение эквивалентной массы Э растворяемого вещества, после чего находят необходимую его навеску (в г) по формуле:

-6

5. При приготовлении раствора с молярной концентрацией применяют аналогичную формулу:

-7

где C — молярная концентрация раствора; Mv— молярная масса растворяемого вещества; V — объем раствора, мл.

Данные формулы будут полезны не только для водных растворов, но и для растворения в других растворителях.

В следующих статьях мы рассмотри другие варианты разбавления. Следите за нашими обновлениями!

 Фото автора RF._.studio: Pexels
Фото автора RF._.studio: Pexels