Добавить в корзинуПозвонить
Найти в Дзене

Индукция и индуктивность: в чём же разница?

⠀⠀ Всем привет, меня зовут Савин Валерий, я репетитор по физике. Сегодня будет очень мало воды и много "сути": что же такое индукция и индуктивность, и как не путать эти определения? ⠀⠀ Итак, поехали. ⠀⠀ Магнитная индукция - силовая векторная характеристика магнитного поля. Обозначается буквой B, измеряется в Теслах - [Тл]. Индукция является силовой характеристикой т.к. она показывает, насколько сильно поле: чем больше магнитная индукция, тем сильнее поле. Определить значение магнитной индукции (экспериментально) можно с помощью действия магнитного поля на движущиеся электрические заряды (сила Лоренца), а также на проводник с током (сила Ампера). ⠀⠀Напомню, что сила Ампера - сила действия магнитного поля на проводник с током, а сила Лоренца - сила действия магнитного поля на движущуюся заряженную частицу. ⠀⠀ Магнитная индукция является векторной величиной, т.к. определяет направление магнитного поля. Да, магнитное поле оказывает заметное упорядочивающее действие на движущие

⠀⠀ Всем привет, меня зовут Савин Валерий, я репетитор по физике. Сегодня будет очень мало воды и много "сути": что же такое индукция и индуктивность, и как не путать эти определения?

⠀⠀ Итак, поехали.

⠀⠀ Магнитная индукция - силовая векторная характеристика магнитного поля. Обозначается буквой B, измеряется в Теслах - [Тл]. Индукция является силовой характеристикой т.к. она показывает, насколько сильно поле: чем больше магнитная индукция, тем сильнее поле. Определить значение магнитной индукции (экспериментально) можно с помощью действия магнитного поля на движущиеся электрические заряды (сила Лоренца), а также на проводник с током (сила Ампера).

⠀⠀Напомню, что сила Ампера - сила действия магнитного поля на проводник с током, а сила Лоренца - сила действия магнитного поля на движущуюся заряженную частицу.

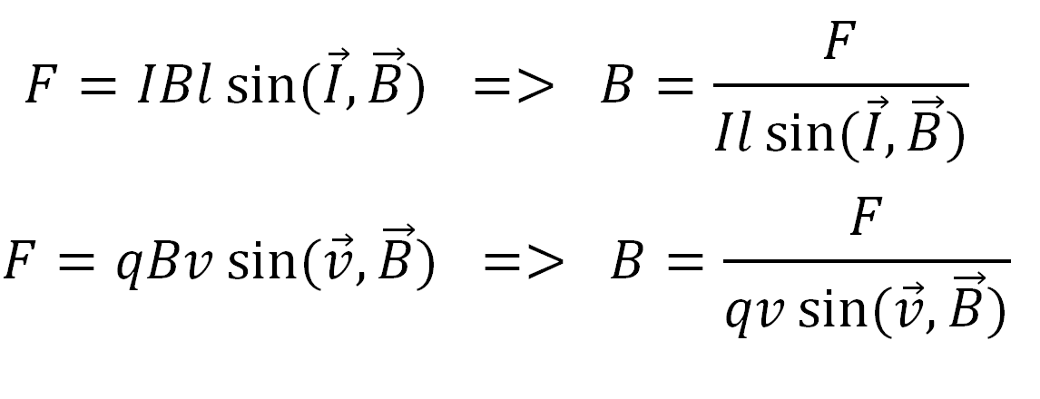
Вывод формулы для расчёта значения магнитной индукции через формулы силы Ампера и силы Лоренца.
Вывод формулы для расчёта значения магнитной индукции через формулы силы Ампера и силы Лоренца.

⠀⠀ Магнитная индукция является векторной величиной, т.к. определяет направление магнитного поля. Да, магнитное поле оказывает заметное упорядочивающее действие на движущиеся заряженные частицы, проводники с током, а также на ферромагнетики. Если разбросать металлическую стружку вокруг магнита, то маленькие металлические частички (для более качественного понимания ситуации можно представить, что это множественные маленькие магнитные стрелки с северным и южным полюсами) придут в строго упорядоченное положение:

Магнит упорядочивает металлическую стружку (маленькие магнитные стрелки) вдоль силовых линий своего магнитного поля. Источник фото - https://fonwall.ru/chappie
Магнит упорядочивает металлическую стружку (маленькие магнитные стрелки) вдоль силовых линий своего магнитного поля. Источник фото - https://fonwall.ru/chappie

⠀⠀ Расположение маленьких магнитных стрелок неслучайно. Они располагаются вдоль силовых линий магнитного поля.

⠀⠀ Магнитные линии магнитного поля – линии, вдоль которых расположились бы маленькие магнитные стрелки, если бы их поместили в это магнитное поле.

⠀⠀ Направление, которое указывают магнитные стрелки, совпадает с направлением магнитной индукции B (магнитная индукция выходит из северного полюса и входит в южный). Тогда можно сказать, что магнитные линии магнитного поля – линии, касательные к которым в каждой точке поля совпадают с направлением вектора магнитной индукции.

На рисунке магнитные стрелки расположены вдоль магнитных линий магнитного поля, магнитная индукция B - касательная к этим линиям.
На рисунке магнитные стрелки расположены вдоль магнитных линий магнитного поля, магнитная индукция B - касательная к этим линиям.

ВАЖНО!

1) Магнитная индукция - геометрический инструмент, который вводится нами, чтобы описывать направление и величину магнитного поля.

2) Расположение магнитных линий магнитного поля определяется самим магнитом: чем сильнее магнит, тем эти линии будут плотнее и ближе к нему.

3) То, что магнитная индукция выходит именно из северного полюса и входит в южный - выбор сугубо человеческий. С таким же успехом мы могли бы выбрать обратное направление (из южного полюса в северный), и ничего бы с точки зрения физики не изменилось.

4) То, что магнитная индукция располагается по касательной - выбор сугубо человеческий. Можно было бы и направить её перпендикулярно этим линиям, однако удобней всего работать с уравнениями именно таким образом. Тот, кто знает геометрию и алгебру - знает и уравнение касательной. Это правда удобно.

⠀⠀ Кстати, электрический ток тоже создаёт магнитное поле, как и постоянный магнит. Поэтому вся эта теория применима и к электрическому току.

⠀⠀ Индуктивность – коэффициент пропорциональности между электрическим током, текущим через замкнутый контур, и магнитным потоком (магнитного поля, создаваемого этим током) через поверхность, ограниченную этим контуром. Если говорить простыми словами, то индуктивность связывает электрический ток, текущий через контур, с потоком магнитного поля, который этот ток создаёт.

Здесь Ф - магнитный поток [Вб], I - электрический ток [A], L - индуктивность [Гн].
Здесь Ф - магнитный поток [Вб], I - электрический ток [A], L - индуктивность [Гн].

⠀⠀Здесь под словом "контур" нужно понимать катушку индуктивности.

Катушка индуктивности.
Катушка индуктивности.

⠀⠀Индуктивность обозначается буквой L, измеряется в Генри [Гн].

⠀⠀Как и сопротивление, индуктивность зависит только от параметров контура: его геометрических размеров и магнитных свойств сердечника, если он присутствует.

⠀ Также существует ещё и электромагнитная индукция, но об этом - в следующей статье.