Добавить в корзинуПозвонить
Найти в Дзене

Бром. Жидкий галоген. Часть 2

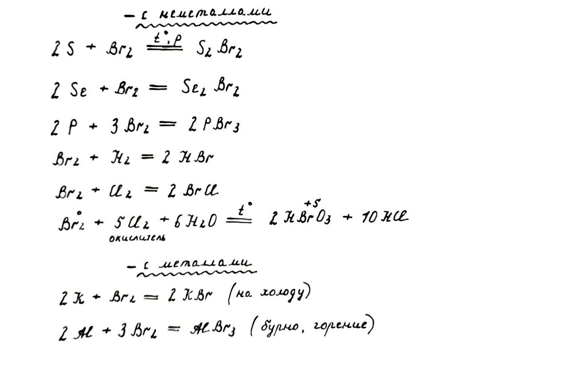
Здравствуйте, уважаемые читатели! В прошлый раз мы остановились на современных промышленных способах получения брома. Теперь давайте разберемся, для каких нужд он необходим. Как всегда, по списку: Как видим, область применения брома и его производных достаточно обширна. Химические свойства брома 1) Реакции с неметаллами . Бром очень энергично реагирует со многими неметаллами, выступает чаще в роли окислителя, а с неметаллами с более высокой электроотрицательностью - наоборот, в качестве восстановителя. С кислородом, азотом и углеродом бром непосредственно не реагирует. 2) Реакции с металлами. С большинством металлов бром вступает в реакции достаточно легко, даже, что называется, "на холоду", то есть при комнатной температуре. Но встречаются и стойкие "солдатики": серебро, свинец, титан, платина, тантал. Они устойчивы к действию брома. 3) Реакции со сложными веществами. Бром способен частично растворяться в воде с образованием двух кислот: бромоводородной и бромноватистой. Тако
Изображение взято с pixabay.com
Изображение взято с pixabay.com

Здравствуйте, уважаемые читатели! В прошлый раз мы остановились на современных промышленных способах получения брома. Теперь давайте разберемся, для каких нужд он необходим. Как всегда, по списку:

  • получение неорганических солей (бромидов);
  • получение органических бромопроизводных, в частности, специальных добавок к бензину, повышающих его детонационную устойчивость;
  • синтез компонентов для "пожаротушительных" смесей;
  • получение красителей, инсектицидов;
  • как реагент в качественном химическом анализе (бромная вода).

Как видим, область применения брома и его производных достаточно обширна.

Химические свойства брома

1) Реакции с неметаллами . Бром очень энергично реагирует со многими неметаллами, выступает чаще в роли окислителя, а с неметаллами с более высокой электроотрицательностью - наоборот, в качестве восстановителя.

С кислородом, азотом и углеродом бром непосредственно не реагирует.

2) Реакции с металлами. С большинством металлов бром вступает в реакции достаточно легко, даже, что называется, "на холоду", то есть при комнатной температуре. Но встречаются и стойкие "солдатики": серебро, свинец, титан, платина, тантал. Они устойчивы к действию брома.

-2

3) Реакции со сложными веществами.

-3

Бром способен частично растворяться в воде с образованием двух кислот: бромоводородной и бромноватистой. Такой раствор имеет желто-оранжевую окраску и называется бромной водой. Бромная вода - известный реактив в химическом анализе, по способности обесцвечивать бромную воду судят о строении ряда органических веществ.

Бром реагирует со щелочами, а то, какие продукты получатся в результате, зависит от температуры. Эти реакции относятся к типу диспропорционирования, так как бром свою степень окисления одновременно и понижает, и повышает.

4) Реакции с органическими соединениями. Бром способен замещать своими атомами атомы водорода в насыщенных органических соединениях. Способен и присоединяться по кратным связям к ненасыщенным соединениям, тогда говорят, что такое органическое вещество обесцвечивает бромную воду, ее желто-оранжевая окраска исчезает. Схемы этих реакций, в общем-то, аналогичны для брома и для хлора, мы их уже рассматривали, поэтому, думаю, здесь их переписывать не имеет смысла.

Бром и его пары очень ядовиты. При попадании на кожу жидкого брома можно получить ожог, а вдыхание паров вызывает кашель, насморк, головокружение, общее плохое самочувствие, вплоть до удушья. Облегчить состояние возможно, если аккуратно подышать над ватой, смоченной нашатырным спиртом, а потом выпить горячего молока. Обожженный участок кожи рекомендуется смазать ланолином. И обязательно скорее показаться врачу. Но, разумеется, до внештатных ситуаций доходить не стоит, поэтому все работники на производстве обеспечиваются противогазами, перчатками, сапогами и фартуками.

Ну что же, вроде ничего не забыла! А если что-то и забыла, то надеюсь на вашу внимательность и обратную связь! 😊