Добавить в корзинуПозвонить
Найти в Дзене
Математика и физика

Простое доказательство Ричарда Фенмана формулы скалярного произведения

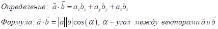
Если вы обучаетесь в школе и у вас еще не было основательного вузовского курса по линейной алгебре и аналитической геометрии, то у вас наверняка возникал вопрос почему для скалярного произведения двух векторов верна следующая формула:

Формула это очень часто используется школьниками на уроках геометрии, но не где в учебниках не приводится ее доказательства, да и учителя не удосуживаются его привести.

Так откуда же берется формула, выражающая скалярное произведение через произведение модулей векторов на косинус угла между ними?

Очень простое для понимания доказательство приведено в первом томе Фейнмановских лекций по физике.

Ниже приведено само доказательство:

-2

Таким образом мы доказали, в некоторой системе координат мы доказали данную формулу, но если это верно в одной системе координат то это верно и во всех системах координат, так как скалярное произведение не зависит от системы координат.

В школьных учебниках доказательство данного утверждения не приводится в учебниках, хотя оно очень полезно для понимания сути скалярного произведения. Доказательство приведенное Фейнманом доступно даже восьмиклассник, что в очередной раз доказывает гениальность ученого, как преподавателя.