Добавить в корзинуПозвонить
Найти в Дзене
Diperstories

Сколько я заработал на Яндекс Дзен за всё время монетизации.

Сколько дзен заплатил мне за 4 месяца монетизации.

Когда-то я уже выпускал такую статью, где показал сколько я заработал за месяц. Сейчас я покажу сколько я заработал за 4 месяца (сентябрь, октябрь, ноябрь, декабрь).

Деньги с дзена я не выводил не разу и поэтому эта сумма за всё время моей монетизации.

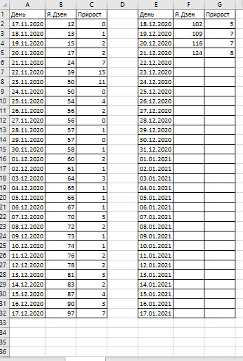
Также я вёл свой отчет по дням в таблицах Excel и его я так же покажу.

Скриншот из редактора дзена.
Скриншот из редактора дзена.

Вот столько я заработал на дзене за 4 месяца. А за первый месяц я заработал 9 рублей.

Скриншот из Excel.
Скриншот из Excel.

А на этом скриншоте вы можете видеть сколько я получал в день с 17 ноября.

Я понимаю, что цифры маленькие и начинающих авторов, таких как я они отпугивают, но на самом деле эту сумму можно увеличить, нужно просто часто писать статьи, а я этого не делаю.

Спасибо за внимание, всем удачи в ваших начинаниях, всех с наступающим новым годом и пока!