Добавить в корзинуПозвонить
Найти в Дзене
200 фишек про учебу

Уравнения Максвелла проходить нельзя пропустить!

"Ух ты, физика!" Часть 22. Фишки с 30 по 37. Как покончить с "правыми руками" и "левыми ногами"? В прошлой статье мы рассмотрели уравнения Максвелла в смысловой (словесной) формулировке. Теперь посмотрим частные случаи, которые проходят в средней школе "прямо в лоб". В обычном дифференциальном виде. Как я уже отмечал, в школьной физике много внимания уделяется различным мнемоническим правилам, вроде правила "правой руки". Природа этого упрощенчества лежит в особенностях преподавания почти всех школьных предметов, за исключением разве, что математики. Да и то... Предметы в средней школе стараются преподавать в хронологическом порядке. От Аристотеля и Пифагора и до наших дней. Рассматривать историческое развитие любой науки, а физики особенно, это само по себе интереснейшее и полезнейшее для кругозора школьника занятие. Но только это, по сути, не имеет никакого отношения к самому существу изучаемого предмета. Будь моя воля, я бы выделил в отдельный предмет (например в "историю естествоз
Оглавление

"Ух ты, физика!" Часть 22. Фишки с 30 по 37.

Как покончить с "правыми руками" и "левыми ногами"?

В прошлой статье мы рассмотрели уравнения Максвелла в смысловой (словесной) формулировке. Теперь посмотрим частные случаи, которые проходят в средней школе "прямо в лоб". В обычном дифференциальном виде.

Как я уже отмечал, в школьной физике много внимания уделяется различным мнемоническим правилам, вроде правила "правой руки". Природа этого упрощенчества лежит в особенностях преподавания почти всех школьных предметов, за исключением разве, что математики. Да и то...

Предметы в средней школе стараются преподавать в хронологическом порядке. От Аристотеля и Пифагора и до наших дней. Рассматривать историческое развитие любой науки, а физики особенно, это само по себе интереснейшее и полезнейшее для кругозора школьника занятие. Но только это, по сути, не имеет никакого отношения к самому существу изучаемого предмета.

Будь моя воля, я бы выделил в отдельный предмет (например в "историю естествознания") все, прямо не касающееся сегодняшнего состояния физики, как науки. Это сократило бы кучу сил и времени учащимся. И к тому же, сохранило бы их интерес к самой физике.

Для решения задач (и не только экзаменационных, а в особенности "жизненных") совершенно неважно когда и какой исследователь что открыл или изобрел. Более того, порой бывает даже вредно изучать предмет в хронологической последовательности его исторического развития.

Проще и эффективнее начинать с фундаментальных принципов и понятий известных в настоящее время. С точных формулировок законов и полных уравнений.

Частные случаи уравнений Максвелла

Электростатика

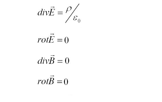
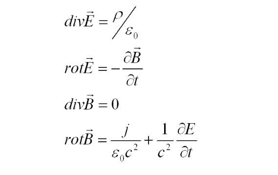
Посмотрим на знакомые нам уравнения Максвелла:

Представим случай, когда ничего не движется и ничто не меняется со временем. Все стоит на месте.

Что мы получим?

Правильно! Правые части всех уравнений, кроме первого, становятся нулевыми. Потому, что токов (направленного движения заряженных частиц) нет. Изменений чего-либо во времени тоже нет. Следовательно, производные по времени равны нулю.

-2

Заметим, что уравнения разделились. Два про Е и два про В. И эти пары стали независимы. Электрическое и магнитное поле можно рассматривать независимо друг от друга.

Фишка 30.
Запомним! Чтобы появилось магнитное поле, что-то должно двигаться или меняться. Либо меняется с течением времени электрическое поле, либо заряды двигаются.

Тут, кстати, появляется один "парадокс", о котором рекомендую подумать самостоятельно.

Парадокс равномерно движущихся зарядов

Двигаются заряды или нет зависит от выбранной системы отсчета.
Рассмотрим две инерциальные системы, которые двигаются друг относительно друга прямолинейно и равномерно. Тогда заряды, покоящиеся в одной системе, двигаются в другой.
Следовательно, получается, что в одной системе координат ток (упорядоченное движение заряженных частиц) есть, а в другой нет.
Получается, что наличие ненулевого магнитного поля и его величина зависят от выбранной нами системы отсчета (в данном случае от выбора одной из бесконечного множества инерциальных систем). Это странно, согласитесь!
Первому, кто объяснит этот "парадокс", будет вручена цифровая ручка от нашего генерального спонсора.

Вернемся к электростатике

Наши уравнения разделились на две независимые пары. Одна пара для электрического поля, вторая для магнитного.

Причем легко доказать, что в таком варианте (все стоит и ничего не двигается) магнитных полей нет вовсе.

Докажите, что это так, самостоятельно!
(Подсказка: Нужно всего лишь понять, почему если у нас нет магнитных зарядов и нет замкнутых линий магнитного поля, то вообще нет никаких линий такого поля и следовательно нет поля).

Соответственно, в случае электростатики у нас остается два уравнения, которые говорят нам о том, что:

1) Дивергенция (истечение, "втечение") электрического поля из любого замкнутого объема зависит от наличия зарядов в этом объеме.

2) Роторы (в данном случае замкнутые линии электрического поля) отсутствуют.

Первое, я думаю, очевидно. Все представляют, как линии выходят из положительных точечных зарядов и входят в отрицательные. Сколько вышло, столько вошло.

В средней школе проходят в основном поля одиночных точечных зарядов, которые подчиняются закону Кулона. В институте выводят первое уравнение Максвелла из закона Кулона.

Но и закон Кулона можно легко вывести из первого уравнения Максвелла.

Выведем!

Вспомним, что модуль вектора напряженности электрического поля в любой точке умноженный на единичный заряд - равен модулю силы, действующей на этот единичный заряд, помещенный в эту точку. Оба вектора лежат на одной прямой, а их направления зависят от знака единичного заряда.

Рассмотрим поле одиночного заряда. Легко заметить, что поток вектора напряженности электрического поля Е сквозь любую замкнутую поверхность вокруг одиночного заряда постоянен и зависит только от величины заряда внутри поверхности. Из первого уравнения Максвелла (оно, собственно, об этом).

Это сразу понятно, если вспомнить нашу аналогию с водопроводным краном. Объем воды "проходящий через любую замкнутую поверхность вокруг крана в единицу времени" зависит только от источника, т.е. сколько воды в единицу времени вытекает из крана.

ОК?

Существенное отступление про "соображения симметрии"! (Фишка 32)

В случае точечного одиночного заряда у нас наблюдается сферически симметричное поле.

Почему? Из соображений симметрии.

Это очень полезный прием, с помощью которого можно легко решать порой весьма и весьма нетривиальные олимпиадные задачи.

Соображения симметрии заключаются в следующем:

Если мы рассматриваем физическую систему (модель физического явления), в которой наблюдается какая-либо симметрия, то можно предположить, что свойства этой системы аналогично симметричны. Примеры приведите сами!

Я приведу в пример задачу про кубик.

Представьте себе проволочный кубик, каждое ребро которого имеет сопротивление 1 Ом. Вопрос: Каково сопротивление кубика между противоположными вершинами А и В?

-3

Решение по закону Кирхгофа для электрических цепей занимает около страницы рукописного текста. Можете проделать самостоятельно.

Решение "по соображениям симметрии" занимает одну строку.

Легко заметить, что в задаче есть симметрия. Все ребра кубика имеют в точности одинаковое сопротивление. Электрический ток, текущий между диагонально противоположными вершинами, проходит сначала по трем ребрам, затем по шести ребрам, а затем снова по трем. Тогда Итоговое сопротивление будет равно

1/3+1/6 +1/3 = 5/6 Ом.

Вы можете спросить, а откуда вы взяли, что ток потечет так симметрично?

Отвечу: Из соображений симметрии. Нет никаких причин предполагать преимущество одних частей системы над другими симметричными им частями.

Симметрии это фундаментальные принципы природы! Фишки 33-35.

О них очень популярно и подробно написано в Фейнмановских лекциях по физике. рекомендую прочитать на досуге и понять.

Более того, каждая симметрия обеспечивает свой закон сохранения:
- закон сохранения количества движения обусловлен однородностью пространства,
- закон сохранения момента импульса – изотропностью пространства,
- закон сохранения энергии – однородностью времени.

В случае точечного заряда у нас наблюдается сферически симметричное поле.

Почему?

Потому, что в нашей системе идеальная сферическая симметрия. Ни одно из направлений нельзя считать более предпочтительным перед другим.

Продолжите эти рассуждения сами или посмотрите про это в интернете!

Мы имеем дело со сферически симметричным полем.

Следовательно через любую единицу площади поверхности сферы радиуса r с центром в точке нашего точечного заряда проходит одинаковый поток вектора напряженности электрического поля Е.

Поток вектора через единицу поверхности равен произведению перпендикулярной составляющей вектора к единице поверхности, умноженной на площадь единицы поверхности.
Плотность потока вектора равна Потоку вектора через единицу поверхности, деленному на площадь единицы поверхности.
Соответственно, Плотность потока вектора в точке поверхности равна перпендикулярной составляющей вектора к поверхности в этой точке.

Если мы просуммируем все потоки вектора Е через все единичные площади этой сферы (это называется проинтегрировать поток вектора Е по поверхности сферы), то мы получим величину нашего точечного заряда, деленную на постоянную "эпсилон-ноль". Это следует прямо из нашего первого уравнения Максвелла.

Дивергенция Е из точки, где находится наш точечный заряд - это и есть, по сути, суммарный поток вектора Е через любую нашу сферу вокруг точечного заряда, и вообще через любую замкнутую гладкую поверхность (определение гладкости смотреть в интернете) вокруг заряда в общем случае.

На сферах с единым центром просто легче считать.

Тогда плотность потока вектора Е (это, в случае нашей сферы, просто длина вектора Е ) тем меньше, чем больше радиус сферы на которой она измеряется.

И эта зависимость обратно пропорциональна квадрату радиуса сферы. Доказательство очевидно, я думаю.

Но это же закон Кулона! Догадались почему?

Правильно, если поместить на поверхность сферы единичный заряд, то на него будет действовать сила пропорциональная величине вектора Е.

Если увеличить радиус сферы в два раза (раздвинуть заряды в два раза дальше), во сколько раз изменится сила?

Во столько раз, во сколько изменится длина вектора Е. А она уменьшится в четыре раза.

В

-4

раз.

Это и есть закон Кулона, который следует из первого уравнения Маквелла.

-5

Еще из него же (1-го уравнения Максвелла) следует, что линии электрического поля могут начинаться или заканчиваться только в точках, в которых расположены соответственно положительные или отрицательные заряды. (Доказательство за вами). Фишка 36.

А еще линии напряженности электрического поля не пересекаются между собой.
Фишка 37.
(Кто первый докажет, получит сразу два приза!).

Второе уравнение Максвелла для электростатики.

Второе уравнение Максвелла для электростатики говорит нам о том, что не существует замкнутых линий электрического поля при отсутствии изменяющегося магнитного поля.

Как доказать это утверждение?

Ротор вектора электрического поля Е равен нулю в каждой точке пространства. Это означает само уравнение.

Докажем, что в нашем электростатическом поле Е в любом замкнутом проводящем контуре будет отсутствовать электрический ток. Это утверждение равнозначно "не существует замкнутых линий электрического поля" .

Доказательство от противного.

Допустим, что мы нашли в нашем электростатическом пространстве такой контур, по которому наблюдается ненулевая циркуляция вектора Е.

-6

Циркуляция вектора по любому конечному контуру считается очень просто. Контур разбивается на маленькие (обычно на бесконечно малые) отрезки. Такие, на которых значение вектора постоянно. Затем суммируются все проекции векторов на соответствующие отрезки с учетом знаков (направлений). В случае бесконечно малых отрезков процесс суммирования называется интегрированием. Если сумма ненулевая, значит циркуляция не ноль. Тогда (если этот вектор - вектор Е) по контуру действительно может потечь ток.

-7

В нашем случае очень легко увидеть, разделив наш контур на много-много маленьких контуров, как показано на рисунке ниже, что если в каждом маленьком контуре циркуляции нет, то и общая циркуляция по большому контуру равна нулю. (На самом деле это не столь очевидно, хотя интуитивно понятно). Математически это доказывается элементарно, хотя, на мой взгляд, несколько громоздко.

-8

Но мы можем доказать это абсолютно точно и легко из других соображений.

В нашем электростатическом случае источником электрического поля является распределение электрических зарядов. И на помещенный нами в электростатическое поле действуют только кулоновские силы.

И еще у нас есть закон сохранения энергии, который, мы уверены, действует везде, даже в электростатике.

Проекция вектора Е на любом из отрезков нашего контура совпадает с проекцией вектора F (сила, действующая на заряд в электрическом поле). Тогда работа этой силы по перемещению единичного заряда вдоль контура может быть легко посчитана суммированием (интегрированием в случае деления на бесконечно малые отрезки) произведений проекций сил на отрезки на длины этих отрезков.

Просуммировав по кругу, получим работу.

В случае ненулевой циркуляции вектора Е и, соответственно, вектора F (я думаю, вы уже догадались, что наша работа единичного заряда по контуру равна циркуляции F , умноженной на "1 Кл" - величину единичного заряда) работа так же будет ненулевая.

Но! Получается, что изменяется энергия системы!

Система не меняется, потому, что у нас все "стоит на месте", кроме перемещаемого единичного заряда, а энергия системы не сохраняется?! Ерунда, однако!

Более того, если вдоль этого контура разместить проводник у нас по этому контуру потечет ток. И будет течь бесконечно долго. Получится какой-то вечный двигатель!

Таким образом в случае электростатики замкнутых линий электрического поля (циркуляции по замкнутому контуру) быть не может.

Еще одно замечание про работу электростатического поля.

Поскольку из второго уравнения Максвелла для электростатики следует, что циркуляция поля Е по любому замкнутому контуру равна нулю, то следствием этого будет "потенциальность" электростатического поля.

Заряды в электростатическом поле обладают потенциальной энергией. Это, в частности, следует из того факта, что работа по перемещению заряда по любому замкнутому контуру в электростатическом поле Е равна нулю.

Объяснение этого факта приводится во всех учебниках физики. Мы просто коротко сформулируем сам принцип.

Работа в общем случае есть изменение энергии чего-то. Она, как и энергия, измеряется в Дж. Ее можно складывать и вычитать с энергиями различных видов.

Рассматривая работу по перемещению заряда из точки А в точку В в электростатическом поле по произвольному пути, а затем работу по возврату этого заряда обратно из В в А, но уже по другому пути, мы заметим, что сумма этих работ равна нулю.

Если мы будем возвращать наш заряд через определенную "нулевую" точку С, то работа по перемещению заряда из А в В будет равна сумме работ из А в С плюс из С в В.

-9

Можно договориться, что некая величина (с размерностью Вольт = Дж/Кл = Дж/(с*А)), называемая нами "потенциал", в точке С будет равна нулю. А эта же величина в точке А будет равна работе по перемещению единичного заряда из С в А, деленной на величину перемещаемого заряда. Соответственно, потенциал в точке В будет равен работе по перемещению из С в В, деленной на величину перемещаемого заряда. Это подтверждается, кстати, и методом размерностей.

Таким образом, выбрав нулевую точку С (обычно ее для удобства выбирают в бесконечности), мы "построим" скалярное поле нашего потенциала. То есть скалярную функцию трех переменных, значение которой заданно для любой точки нашего пространства

-10

называемую электростатическим потенциалом.

Она однозначно связана с нашим векторным полем Е замечательно простым соотношением. Поле вектора Е является градиентом поля электростатического потенциала.

-11

Что такое градиент можно посмотреть в любом учебнике, в том числе и нашем. Знак минус получается потому, что вектор поля Е направлен в сторону уменьшения потенциала.

Потенциал удобен тем, что он скалярная величина. Соответственно, вместо трех уравнений (в векторном случае) можно решать одно.

Ну и в заключении, для тех кто помнит операции с векторами, которые мы уже описывали:

Из того, что поле электростатического потенциала - скалярное поле, а поле вектора Е есть поле градиента этого скалярного поля, уже же следует второе уравнение Максвелла для электростатики.

Потому, что ротор градиента скалярного поля всегда равен нулю!

Это станет сразу понятно из определения операций градиента и ротора для соответствующих полей, если расписать их в виде математических формул.

Предлагаю читателям доказать это самостоятельно ("Ротор градиента скалярного поля равен нулю") без написания формул! На основе вашего понимания самих этих понятий, проиллюстрировав на реальных наглядных примерах.

Первому, кто представит правильное доказательство без использования формул, получит в качестве приза цифровую ручку - устройство 21-го века для самых продвинутых от нашего генерального спонсора.

Ответы, доказательства, замечания и пожелания можно оставлять на нашей странице в Фэйсбуке.