Добавить в корзинуПозвонить
Найти в Дзене

NPV расчет в Excel

Расчет показателя NPV (чистая приведенная стоимость, англ. Net present value) в Excel. Инвестиционный проект имеет две стадии - стадию непосредственного инвестирования средств и стадию возврата инвестиций. В коммерческом проекте любая инвестиция должна приносить доход: речь может идти как об увеличении выручки, так и о сокращении текущих или будущих расходов. Например, проект может предполагать модернизацию производственного оборудования, резульатом которой будет снижение потребления топлива. В таком проекте не идет речи об увеличении производительности, здесь источником возврата вложенных инвестиций будет полученная экономия от сокращения расходов на топливо, выраженная в валюте расчетов. Золотое правило механики гласит - "Выигрываешь в силе, проигрываешь в расстоянии". Если речь идет об экономике, то аналогичное золотое правило гласит "Сегодняшние деньги дороже завтрашних". Деньги изменяют стоимость во времени и сегодняшние 1000 рублей имеют иную цену, нежели те же 1000 рублей через

Расчет показателя NPV (чистая приведенная стоимость, англ. Net present value) в Excel.

Инвестиционный проект имеет две стадии - стадию непосредственного инвестирования средств и стадию возврата инвестиций. В коммерческом проекте любая инвестиция должна приносить доход: речь может идти как об увеличении выручки, так и о сокращении текущих или будущих расходов. Например, проект может предполагать модернизацию производственного оборудования, резульатом которой будет снижение потребления топлива. В таком проекте не идет речи об увеличении производительности, здесь источником возврата вложенных инвестиций будет полученная экономия от сокращения расходов на топливо, выраженная в валюте расчетов.

Золотое правило механики гласит - "Выигрываешь в силе, проигрываешь в расстоянии". Если речь идет об экономике, то аналогичное золотое правило гласит "Сегодняшние деньги дороже завтрашних". Деньги изменяют стоимость во времени и сегодняшние 1000 рублей имеют иную цену, нежели те же 1000 рублей через год. Этот принцип и лежит в основе показателя NPV.

Чистая приведенная стоимость (также чистый дисконтированный доход, дисконтированный поток) это сумма всего денежного потока проекта приведенная к сегодняшнему дню. Процесс называется "дисконитрование". Звучит сумбурно, на самом деле все очень просто. Простой пример денежного потока планового проекта (cash flow):

Общий суммарный денежный поток составляет 8,5 млн. рублей.

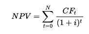
Формула NPV имеет следующий вид:

-2

где:

  • CF - сумма чистого денежного потока за период (месяц, квартал, год и т.д.);
  • t - период времени, за который берется чистый денежный поток;
  • N - количество периодов, за который рассчитывается инвестиционный проект;
  • i - ставка дисконтирования, принятая в расчет в этом проекте, выражается в %

Из собственной практики могу сказать, что самый сложный показатель в этой формуле- ставка дисконитирования. Есть несколько способов ее расчета. Это отдельная и очень обширная тема, общую информацию можно прочитать здесь. Обобщенно, ставка дисконитрования - это ставка, при которой потенциальный инвестор готов инвестировать в проект.

Для нашего примера будем считать, что ставка дисконтирования равна 12% в год.

В начале, посчитаем NPV в ручном режиме. Посчитаем PV (дисконтированный денежный поток) каждого периода по формуле PV = CFt/(1+i)^t:

-3

В ячейке B3 формула будет иметь следующий вид: =B2/((1+12%)^1), в C3 =C2/((1+12%)^2) и т.д. до ячейки F3. Обратите внимание, что в Excel знак возведения в степень - "^". Также можно воспользоваться формулой СТЕПЕНЬ(число;степень).

Таким образом, в строке 3 мы получили дисконтированный денежный поток (PV). Разница между строкой 2 и 3 очевидна - чем мы дольше возвращаем деньги, тем меньше они стоят.

NPV = сумме дисконтированного денежного потока, т.е. PV. В нашем случае NPV = 4,6 млн. руб.

Чтобы упростить расчет NPV, в Excel есть специальная формула: ЧПС(ставка; значение 1; значение 2...). Достаточно указать ставку и диапазон денежного потока Cash flow. В нашем примере формула будет иметь следующий вид: =ЧПС(12%;B2:F2).

Здесь можно узнать, как считать IRR в Excel

Если материал вам понравился, прошу поставить палец вверх и подписаться на канал:)