Найти в Дзене

Зачем нужны водяные калориферы?

Водяные калориферы (более современное название — водяные воздухонагреватели) представляют собой агрегат из вентилятора и теплообменника, использующего в качестве теплоносителя горячую (перегретую) воду. Они используются для эффективного и экономичного обогрева помещений в зданиях промышленного, общественного и административного назначения. Эффективность, экономичность и высокая степень безопасности водяных нагревателей сделали их основным способом обогрева в помещениях этих категорий. Все имеющиеся виды обогревательных устройств для вентиляции уступают или, в лучшем случае, приближаются по своим техническим характеристиками к водяным приборам. Основная область использования калориферов — здания или помещения, в которых по разным причинам не имеется возможности установить радиаторы. Например, при больших объемах помещений радиаторы попросту не справятся, а воздушное отопление, напротив, будет наиболее эффективным. Наиболее рациональным расположением водяных калориферов является приточн
Оглавление

Водяные калориферы (более современное название — водяные воздухонагреватели) представляют собой агрегат из вентилятора и теплообменника, использующего в качестве теплоносителя горячую (перегретую) воду. Они используются для эффективного и экономичного обогрева помещений в зданиях промышленного, общественного и административного назначения. Эффективность, экономичность и высокая степень безопасности водяных нагревателей сделали их основным способом обогрева в помещениях этих категорий.

Все имеющиеся виды обогревательных устройств для вентиляции уступают или, в лучшем случае, приближаются по своим техническим характеристиками к водяным приборам.

Основная область использования калориферов — здания или помещения, в которых по разным причинам не имеется возможности установить радиаторы. Например, при больших объемах помещений радиаторы попросту не справятся, а воздушное отопление, напротив, будет наиболее эффективным. Наиболее рациональным расположением водяных калориферов является приточная вентиляционная линия, поскольку нагревать выводимый поток нецелесообразно.

Кроме отопления, активно применяется подогрев приточной струи, используемый для сохранения уже имеющегося тепла в помещении. Если производится транспортировка свежей струи по продолжительной линии воздуховодов, то на них без подогрева воздуха будет накапливаться конденсат, что создаст массу проблем эксплуатационного характера. Для решения всех этих вопросов применяются водяные воздухонагреватели.

Воздухонагреватель водяной: принцип работы и конструкция

Наиболее распространенным типом являются калориферы спирально-катанные (КСК). Они пришли на смену пластинчатым конструкциям, менее удачным в обслуживании и требующим периодического обслуживания в довольно трудоемкой форме.

Нагреватель

Основной элемент нагревателя — стальная трубка, на внешнюю поверхность которой нанесено алюминиевое оребрение. Эти ребра служат теплоотдающей поверхностью, площадь которой в сумме получается достаточно большой. При этом, полный наружный диаметр трубок (вместе с оребрением) составляет 37 мм, а сама трубка — 16 мм, поэтому глубина ребер относительно невелика и не вызывает опасности заполнения грязью, пылью или иными посторонними материалами, снижающими теплоотдачу. Расстояние между ребрами составляет 2,8 мм, что позволяет сохранять тепло даже при интенсивном обдуве, делая работу устройства высокоэффективной.

Трубки

Трубки установлены в плоскую прямоугольную раму в 2, 3 или 4 ряда. Расстояние между осями трубок способствует максимальной теплоотдаче от их поверхности. Подача воздушного потока производится при помощи осевого или радиального вентилятора, это зависит от места установки прибора и специфики его работы.

Установка

Для установки калорифера корпус (рамка) имеет несколько продолговатых монтажных отверстий на фланцевых креплениях. С их помощью приборы могут устанавливаться в систему воздушных каналов, в проемы или иные опорные конструкции. Иногда применяется отдельная установка, когда прибор обслуживает помещение определенного размера и не встроен в общую систему обогрева или вентиляции.

Достоинства и недостатки

Достоинствами водяных воздухонагревателей являются:

  • высокая эффективность работы
  • быстрый и качественный обогрев
  • безопасность
  • экономичность, возможность повторного использования полученной тепловой энергии
  • способность обслуживания помещений большой площади или с большим количеством оборудования. Отсутствие зависимости от конфигурации или иных параметров помещения
  • возможность плавной регулировки или настройки режимов работы
  • способность работы на теплоносителе из сети ЦО, или на местном ресурсе (на воде, нагретой в котлах, имеющихся на предприятии).

При этом, имеются некоторые недостатки:

  • зависимость приборов от наличия теплоносителя
  • необходимость подвода носителя к месту установки приборов
  • потребность в периодическом обслуживании
  • при остановке вентилятора подача тепловой энергии прекращается

Недостатки являются общими для всех водяных устройств, но высокая эффективность и экономичность работы приборов этой категории существенно превышают некоторые минусы и делают водяные калориферы устойчивыми лидерами среди всех подобных устройств.

Технические характеристики

Технические характеристики водяных воздухонагревателей во многом зависят от конкретной модели или типоразмера, но имеются некоторые общие требования:

  • температура теплоносителя (максимум) — 200°С
  • давление — 1,2 кПа (максимум)
  • рабочая температура теплоносителя на входе — 150°С
  • рабочая температура носителя на выходе — 70°С

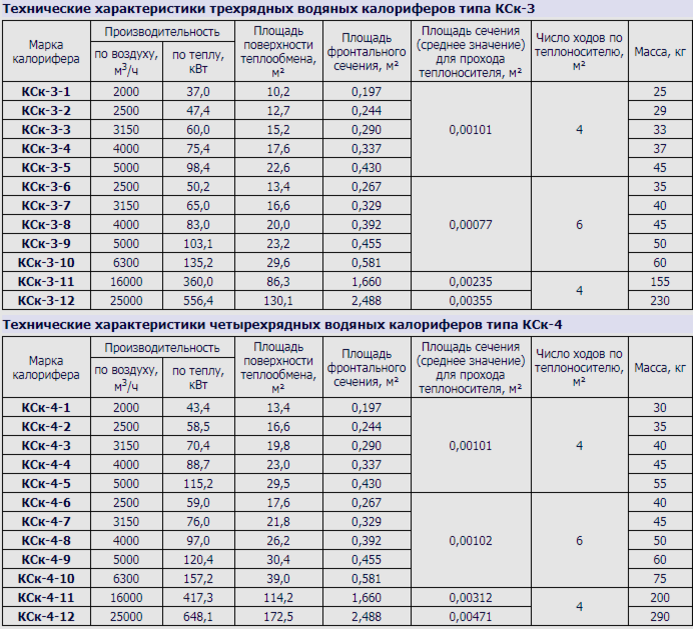
Более полные характеристики водяных воздухонагревателей КСк отображены в таблице:

Можно заметить, что габаритные размеры трех- и четырехрядных приборов различаются только по глубине рамки, необходимой для размещения одного ряда трубок. Все остальные параметры оборудования полностью аналогичны. Такое разнообразие типоразмеров позволяет наиболее эффективным и экономичным образом подбирать нужную модель калорифера для имеющихся конкретных условий помещения.

Таблица замены водяных и паровых калориферов устаревших марок

Устаревшие марки калориферов нуждаются в замене на новые, имеющие те же параметры и присоединительные размеры. В основном, различие имеется лишь в незначительных изменениях конструкции и обозначений. Для того, чтобы было удобно ориентироваться в маркировке современного оборудования, можно использовать следующую таблицу:

-3

Краткий обзор современных моделей водяных воздухонагревателей

Важно! Современные модели, появляющиеся на смену старым, отработавшим свой ресурс приборам, не имеют существенных конструктивных изменений. Это объясняется высокой эффективностью имеющихся устройств, отсутствием конструктивных ошибок или недочетов.

Распространение приборов и постоянство их применения уже давно вызвали необходимость тщательной проработки конструкции и выбора материалов, поэтому все дополнения касаются мелочей. Кроме того, новые приборы приходится устанавливать в имеющиеся системы, что требует полного соответствия габаритно-присоединительных размеров всех моделей.
Среди новых моделей можно отметить
воздухонагреватель водяной ВНВ-113. Он предназначен для использования в системах вентиляции и отопления зданий и сооружений различного назначения.

Используется в обычных производственных условиях:

  • состав воздуха не имеет клейких, волокнистых или агрессивных взвесей или паров
  • количество твердых частиц или пыли не более 0,5 г/м3
  • климатические условия соответствуют умеренному климату (исполнение «У»)
  • калорифер ВНВ является полным аналогом существующим приборам КСК

Можно упомянуть о канальных воздухонагревателях ВНП. Они устанавливаются в систему воздуховодов для стабилизации и подъема температуры перемещаемой среды. Для этого их корпус имеет размеры, соответствующие сечению промышленных воздуховодов (прямоугольных). Специфика установки требует наличия сервисного доступа к устройству, возможности аварийного отключения питания и обдува, перекрытия канала для исключения распространения холодного воздуха и обледенения системы.

Для воздуховодов круглого сечения применяются канальные водяные воздухонагреватели РВАНС, которые обладают всеми типичными характеристиками водяных приборов, но присоединительные размеры оптимизированы для установки в каналы круглого сечения.

Калориферы водяные в ассортименте - посмотреть подробнее