Добавить в корзинуПозвонить
Найти в Дзене
Winner

Как выжить при зомби-апокалипсисе?

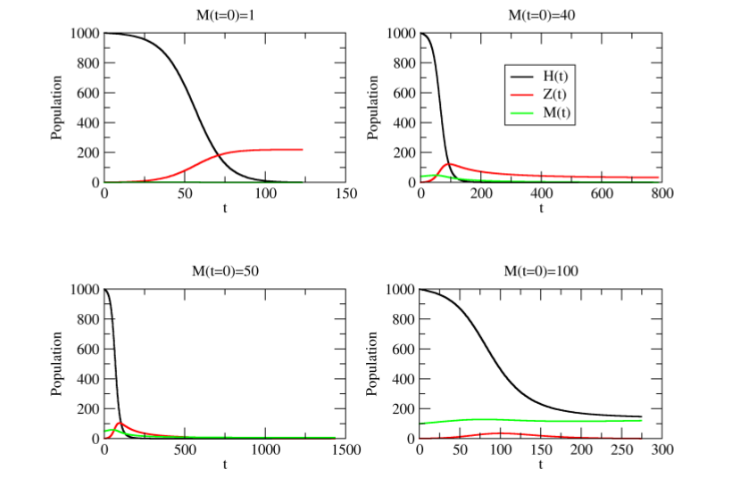
Часто можно видеть подобный исход человечества в кино/сериалах, что же случится с нами в реальных обстоятельствах? Учёные разработали некоторый алгоритм, статистическую схему распространения обычной эпидемии (вроде чумы и подобных смертоносных болезней в истории человечества), при этом в данном алгоритме учитывается наличие профессиональных солдат, которые обучены специально для борьбы с актуальной угрозой (зомби), среди простого мирного населения. Как правило, учёные включают в свои модели два типа участников, людей и зомби, в данном случае добавили ещё и военных, таким образом будет легче докопаться до более приближённых к реальности результатов. Динамику всех трёх популяций с течением времени учёные изучали по средством компьютерного моделирования. Начальная позиция системы представляет собой обычное население в количестве 1000, один зомбарь и разнообразное количество военных. По словам авторов работы лимит на соотношение начального размера первых двух групп сказывается и на итогов

Часто можно видеть подобный исход человечества в кино/сериалах, что же случится с нами в реальных обстоятельствах?

Надеюсь, нас не настигнет такая участь.
Надеюсь, нас не настигнет такая участь.

Учёные разработали некоторый алгоритм, статистическую схему распространения обычной эпидемии (вроде чумы и подобных смертоносных болезней в истории человечества), при этом в данном алгоритме учитывается наличие профессиональных солдат, которые обучены специально для борьбы с актуальной угрозой (зомби), среди простого мирного населения.

Как правило, учёные включают в свои модели два типа участников, людей и зомби, в данном случае добавили ещё и военных, таким образом будет легче докопаться до более приближённых к реальности результатов.

Динамику всех трёх популяций с течением времени учёные изучали по средством компьютерного моделирования. Начальная позиция системы представляет собой обычное население в количестве 1000, один зомбарь и разнообразное количество военных. По словам авторов работы лимит на соотношение начального размера первых двух групп сказывается и на итоговых результатах модели, поэтому для вашего населённого пункта придётся делать отдельное исследование :)

-2

Изменение численности трех групп для модели сильной армии для разного начального числа солдатов (1, 40, 50 или 100). Черный цвет - обычные люди, красный — число зомби, зеленый — количество армии.

Подведём небольшой итог, для модели включающей сильное военное подразделение группа из 1000 человек может выжить только при наличии минимум 47 солдат. При этом для того, чтобы выжило хотя бы 20% мирных граждан количество военных должно превышать 100. Хоть в кинематографе армия показана не такой уж и сильной, в реальности рекомендуется быть поближе к вооружённым ребятам.

Если вам понравилось, то поставьте лайк и подписывайтесь на канал, хорошего дня :)