Найти в Дзене
Детская мода от ТМ GnK

Нормально ли, что из куртки лезет пух? Рассказываем о миграции пуха

Кого угодно расстроит пух, лезущий из нового пуховика. И логично, что при виде перьев появляется мысль о браке: как так — вещь только куплена, а уже начинает сыпаться! Вдруг к концу сезона куртка потеряет весь утеплитель? Спешим успокоить: то, что пух немного лезет, — норма. Процесс называется «миграцией пуха в верхней одежде». Она происходит, потому что во время носки наполнитель постоянно перемещается внутри пакета, особенно в детских вещах — ведь даже зимой дети не сидят на месте. Проблема возникает, если ткань плохого качества, и пух её прокалывает. Или если плохо обработаны швы, если они неплотно сшиты, если сам пакет состоит из одного-двух тонких слоёв. Но это не проблема перопуховой смеси, как утеплителя — это проблема недобросовестности конкретных производителей. Норма миграции пуха в одежде Чтобы узнать норму, нужно смотреть на ГОСТ 26464-85 «Полотна нетканые. Метод определения миграции волокон». Там приводится таблица №4, которая определяет, сколько наполнителя может вылез
Оглавление


Кого угодно расстроит пух, лезущий из нового пуховика. И логично, что при виде перьев появляется мысль о браке: как так — вещь только куплена, а уже начинает сыпаться! Вдруг к концу сезона куртка потеряет весь утеплитель?

Спешим успокоить: то, что пух немного лезет, — норма. Процесс называется «миграцией пуха в верхней одежде». Она происходит, потому что во время носки наполнитель постоянно перемещается внутри пакета, особенно в детских вещах — ведь даже зимой дети не сидят на месте.

Проблема возникает, если ткань плохого качества, и пух её прокалывает. Или если плохо обработаны швы, если они неплотно сшиты, если сам пакет состоит из одного-двух тонких слоёв. Но это не проблема перопуховой смеси, как утеплителя — это проблема недобросовестности конкретных производителей.

Норма миграции пуха в одежде

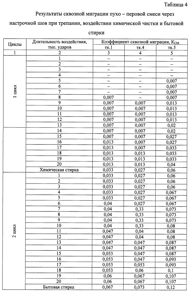
Чтобы узнать норму, нужно смотреть на ГОСТ 26464-85 «Полотна нетканые. Метод определения миграции волокон». Там приводится таблица №4, которая определяет, сколько наполнителя может вылезти через швы при самых серьёзных механических воздействиях.

-2

В переводе на более понятный язык это значит, что во время цикла жёсткого воздействия (стирки, например) сквозь швы пуховика может «просочиться» 14 перьев-пушинок длиной по сантиметру каждое. Этот никак не повлияет ни на внешний вид изделия, ни на его свойства.

Вы можете самостоятельно подсчитать всё по формуле:

-3

Ее можно перевести как: коэффициент сквозной миграции — это длина всех волокон утеплителя, мигрировавших сквозь швы, поделённая на общую длину швов.

В таблице приведено значение коэффициента 0,007. Если умножить его на общую длину швов, например, на 20 000 мм, получится 140 мм — это и будет суммарная длина всех выпавших во время цикла жёсткого воздействия волокон. Усреднённая длина каждой пушинки — сантиметр. Итого — 14 пушинок.

Мы соблюдаем ГОСТ!

G’n’K соблюдает требования ГОСТ. Наши натуральные пуховики оснащены отстёгивающимися перопуховыми пакетами, которые во время стирки можно просто снять. Во-первых, так куртка быстрее высохнет, во-вторых — с пухом всё точно будет нормально.

Мы используем пух высокого качества, который закупаем у проверенного производителя. Смесь подвергается очистке, из неё удаляются красящие вещества и аллергенные элементы. Идеальная перопуховая смесь состоит из пуха на 80%, из пера — на 20%: в таком виде она достаточно мягкая и тёплая, и при этом хорошо удерживает форму.

Ткань пакета обязательно имеет пухонепроницаемые свойства, пакеты делаются двух- и трёхслойными. В некоторых моделях детской верхней одежды используется технология «тёплый шов», которая в принципе не подразумевает сквозного прошивания ткани — и у пуха нет ни единого шанса «выбраться» на поверхность.

Детские пуховики G’n’K соответствуют ГОСТ — и пух из них просто так не лезет. Мы гарантируем, что натуральный наполнитель на 100% выполняет свои функции: надёжно греет и защищает от морозов.

-4