Найти в Дзене
QAZMATH

Квадраттық теңдеу түбірлерінің формуласын жаттау қиын дейтіндерге...

Квадрат теңдеуді шешудің әмбебап және ең танымал әдістерінің бірі – дискриминант арқылы есептеу. Дегенмен біздің өмірдегі құбылыстардың моделі квадрат теңдеумен шектеліп қалмайтынын айта кету керек. Кубтық, төртінші дәрежелі немесе жоғары дәрежелі теңдеулермен берілсе ше?! Әрине, мұндай теңдеулердің де шешімі болу керек. Бірақ біз қарастырып жүргеніміз тек - рационал түбірлері бар немесе биквадрат, симметриялы, толымсыз, көбейткіштерге жіктелетін т.б. секілді жеңіл типті теңдеулер. Егер берілген теңдеу ешқайсысына жатпаса, аналитикалық жолды айналып, графикалық жолмен шешуге асығатынымыз бар. Дегенмен аналитикалық жолдың артықшылығы дәл және толық шешімін алуымызда. Онлайн калькуляторлар мұндай есептердің жауабын толық бере алады. Дегенмен бұл калькуляторларды жасағандар да адамдар ғой. Белгілі бір есепті шешетін калькуляторды жасайтын адам оған есепті шешудің алгоритмдерін жазады. Сонда математиктер жоғарғы дәрежелі теңдеулерді шешудің қандай жолын ұсынды? Карл Гаусс айтып кеткендей

Квадрат теңдеуді шешудің әмбебап және ең танымал әдістерінің бірі – дискриминант арқылы есептеу. Дегенмен біздің өмірдегі құбылыстардың моделі квадрат теңдеумен шектеліп қалмайтынын айта кету керек. Кубтық, төртінші дәрежелі немесе жоғары дәрежелі теңдеулермен берілсе ше?! Әрине, мұндай теңдеулердің де шешімі болу керек.

Бірақ біз қарастырып жүргеніміз тек - рационал түбірлері бар немесе биквадрат, симметриялы, толымсыз, көбейткіштерге жіктелетін т.б. секілді жеңіл типті теңдеулер.

Егер берілген теңдеу ешқайсысына жатпаса, аналитикалық жолды айналып, графикалық жолмен шешуге асығатынымыз бар. Дегенмен аналитикалық жолдың артықшылығы дәл және толық шешімін алуымызда.

Онлайн калькуляторлар мұндай есептердің жауабын толық бере алады. Дегенмен бұл калькуляторларды жасағандар да адамдар ғой. Белгілі бір есепті шешетін калькуляторды жасайтын адам оған есепті шешудің алгоритмдерін жазады. Сонда математиктер жоғарғы дәрежелі теңдеулерді шешудің қандай жолын ұсынды?

Карл Гаусс айтып кеткендей, жоғарғы дәрежелі теңдеулердің дәрежесі қанша болса, (комплекс түбірлерін қоса алғанда) сонша түбірі анықталатыны белгілі (Алгебраның фундаментальды теоремасы) .

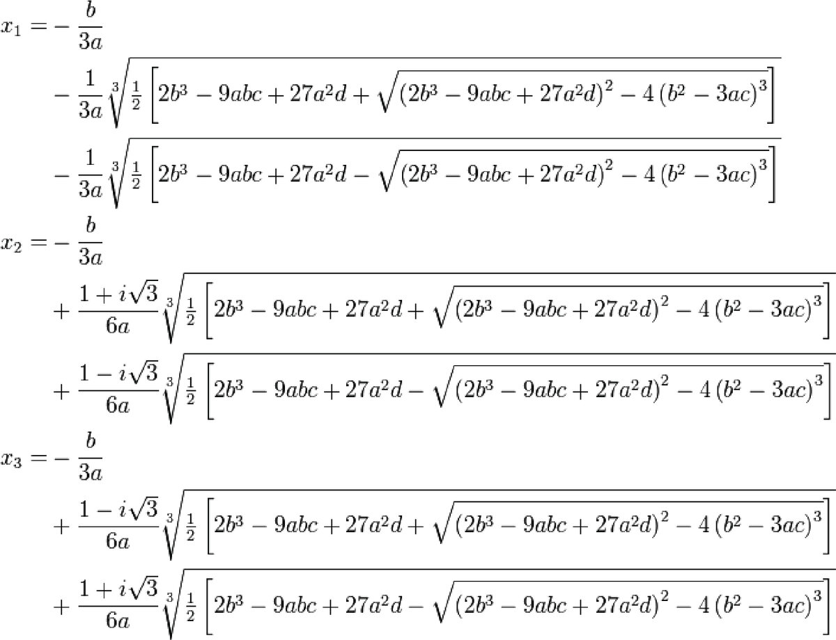
Wolfram Mathematics программасының базасында мұндай теңдеулерді шешу үшін қандай формула енгізілгенін көрейік:

Кубтық теңдеу үшін

Төртінші дәрежелі теңдеу үшін

-2

Егер сіз квадрат теңдеудің формуласын жаттау қиын десеңіз, жоғарыда көрсетілген формулалардың жанында соншалықты оңай екенін байқаған шығарсыз...

Ескертетін жайт, сайтта сізге қажетті онлайн калькуляторлардың қоры бар. Мүмкіндігінше пайдаланып, өз жұмысыңызды тексеріп отырыңыз. Онлайн калькуляторға сілтеме