Найти в Дзене

Секретная шпаргалка по химии. 4.7. Уравнение Менделеева-Клапейpона

Вы хотите познавать химию с удовольствием? Тогда вам сюда! Репетитор-профессионал, автор методики системно-аналитического изучения химии и биологии, кандидат биологических наук Богунова В.Г. делится секретами мастерства, раскрывает тайны решения задач, помогает подготовиться к ОГЭ, ЕГЭ, ДВИ и олимпиадам. Ну как? Выдержите еще немного газовой атаки, или уже сил нет? Совсем чуть-чуть. Самую капельку. Только легенькое уравнение Менделеева-Клапейрона. И все! Что? Неинтересно?! Давайте внесем струю драйва в нашу тяжелую долю и позовем кого-нибудь в гости! Не знаю, как вы, а я уже звоню Алисе, в Страну Чудес. Алиса удивилась, как это она не удивилась, но ведь удивительный день еще только начался и нет ничего удивительного в том, что она еще не начала удивляться. — Если бы у меня был свой собственный мир, в нем все было бы чепухой. Ничего не было бы тем, что есть на самом деле, потому что все было бы тем, чем оно не является, и наоборот, оно не было бы тем, чем есть, а чем бы оно не было, он

Вы хотите познавать химию с удовольствием? Тогда вам сюда! Репетитор-профессионал, автор методики системно-аналитического изучения химии и биологии, кандидат биологических наук Богунова В.Г. делится секретами мастерства, раскрывает тайны решения задач, помогает подготовиться к ОГЭ, ЕГЭ, ДВИ и олимпиадам.

Ну как? Выдержите еще немного газовой атаки, или уже сил нет? Совсем чуть-чуть. Самую капельку. Только легенькое уравнение Менделеева-Клапейрона. И все! Что? Неинтересно?! Давайте внесем струю драйва в нашу тяжелую долю и позовем кого-нибудь в гости! Не знаю, как вы, а я уже звоню Алисе, в Страну Чудес.

Алиса удивилась, как это она не удивилась, но ведь удивительный день еще только начался и нет ничего удивительного в том, что она еще не начала удивляться.
— Если бы у меня был свой собственный мир, в нем все было бы чепухой. Ничего не было бы тем, что есть на самом деле, потому что все было бы тем, чем оно не является, и наоборот, оно не было бы тем, чем есть, а чем бы оно не было, оно было.

Что-то мне перехотелось приглашать Алису в гости. Лучше уж уравнение Менделеева-Клапейрона в классических задачах с любыми условиями протекания реакций. Давайте подумаем, в какие задачи ЕГЭ может легко вписаться и Менделеев, и Клапейрон, и ненормальные условия? Я вижу две позиции - задание 29 (количество вещества и объем газа для любых условий) и задание 35 (определение реальной молярной массы газообразного вещества в любых условиях). Пока авторы заданий ЕГЭ ограничиваются нормальными условиями (0 С, 1 атм). Но это пока...

Чтобы не было так грустно думать о приближающемся конце света ЕГЭ-шного происхождения, в конце статьи я немного повеселю вас еще одним разговором с Сири. На этот раз моя интеллектуальная помощница расскажет о своих чувствах к виртуальному объекту Облака. Не верите? Дочитайте статью до конца, решите задачи, и вы тоже услышите чувственные тайны робота. А пока - ненормальные условия газов в расчетных химических задачах.

Уравнение Менделеева-Клапейрона

Газы часто бывают реагентами и продуктами в химических реакциях, поэтому возникла необходимость определять число молей газов в любых условиях. Для этого используют уравнение Менделеева-Клапейрона - формулу, устанавливающую зависимость между давлением, молярным объёмом и абсолютной температурой газа.

Молярный объём - объём одного моля газа (или смеси газов) при данной температуре и давлении.

Абсолютная температура - температура, отсчитываемая от абсолютного нуля. Понятие абсолютной температуры было введено У. Томсоном (Кельвином) , в связи с чем шкалу абсолютной температуры называют шкалой Кельвина или термодинамической температурной шкалой. Единица абсолютной температуры - кельвин (К) .

Абсолютный ноль - это температура -273,15 градусов Цельсия, минимальный предел температуры, которую может иметь физическое тело во Вселенной, когда тепловое движение останавливается.

Решим несколько задач, условия в которых отличаются от нормальных и подразумевают использование уравнения Менделеева-Клапейрона для расчетов количества вещества или объема газа. В процессе решения проводим анализ протекающих процессов и особенностей алгоритмических приемов. Читайте внимательно и записывайте, затем попробуйте решить задачи самостоятельно. Итак, поехали!

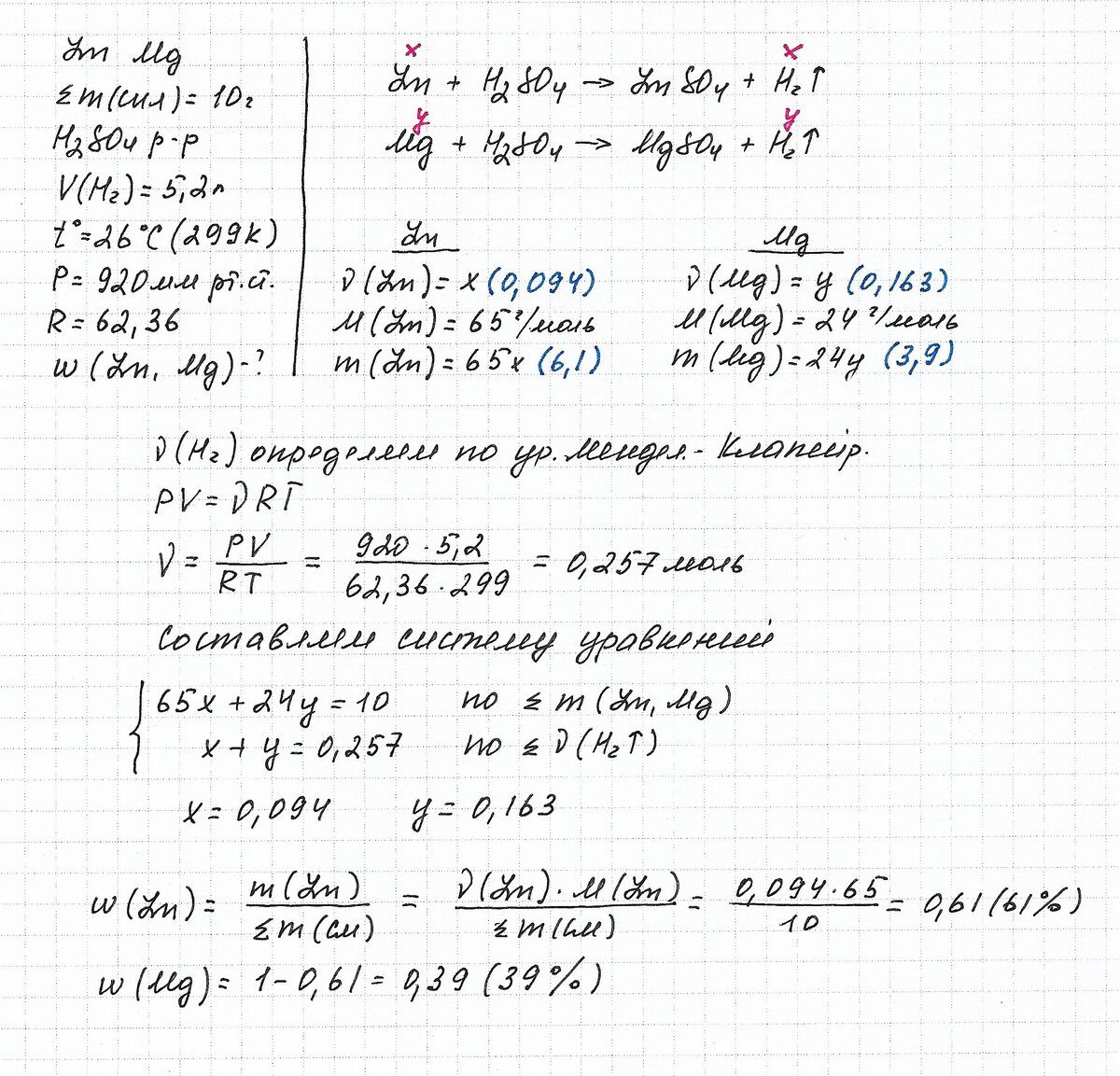
Задача 1

При растворении в серной кислоте 10 г сплава цинка с магнием выделилось 5,2 л водорода, измеренного при 26С и давлении 920 мм рт.ст. Определить массовые доли металлов в смеси.

Вначале, как всегда, химический экскурс. Как реагируют металлы с кислотами? Металлы, стоящие в ряду активности левее (Н), реагируют с кислотами-неокислителями с выделением водорода. Металлы, правее (Н), с кислотами-неокислителями не реагируют.

Li Rb K Ba Sr Ca Na Mg Al Mn Zn Cr Fe Cd Co Ni Sn Pb (H) Sb Bi Cu Hg Ag Pt Au

И цинк, и магний реагируют с серной кислотой (очевидно, разбавленной) с выделением водорода. Это - классическая задача на смеси, решается по Четырем Заповедям. Определим последовательность действий по Третьей Заповеди (предварительные расчеты):

1) По уравнению Менделеева-Клапейрона определяем количество вещества водорода.

2) Принимаем количества вещества цинка и магния за неизвестные - X и Y соответственно, записываем досье для каждого участника (количество вещества, молярная масса, масса)

3) Делаем расчеты по уравнениям реакций.

4) Составляем систему уравнений. Одно уравнение - закрываем на количестве вещества водорода, второе - на общей массе сплава. Решаем уравнения, находим неизвестные, записываем их значения в досье.

5) Определяем массовые доли по стандартной формуле.

-2

Задача 2

Смесь цинка и меди массой 1 г поместили в пробирку с избытком соляной кислоты. Выделилось 200 мл водорода, измеренного при температуре 27С и давлении 740 мм рт.ст. Рассчитайте массовую долю меди в исходной смеси металлов.

Напомню еще раз: металлы, стоящие в ряду активности левее (Н), реагируют с кислотами-неокислителями с выделением водорода. Металлы, правее (Н), с кислотами-неокислителями не реагируют.

Li Rb K Ba Sr Ca Na Mg Al Mn Zn Cr Fe Cd Co Ni Sn Pb (H) Sb Bi Cu Hg Ag Pt Au

Цинк реагирует с соляной кислотой (он стоит левее водорода), медь - правее водорода, с соляной кислотой не реагирует. Задача решается по Четырем Заповедям. Определим последовательность действий по Третьей Заповеди (предварительные расчеты):

1) По уравнению Менделеева-Клапейрона определяем количество вещества водорода.

2) Делаем расчеты по уравнению реакции (по водороду определяем количество вещества цинка).

3) Определяем массовую долю цинка по стандартной формуле, а массовую долю меди - как оставшуюся разницу (обе массовые доли в сумме составляют 1 или 100%)

-3

Задача 3

Какой объем водорода, измеренный при температуре 21С и давлении 765 мм рт.ст. необходимо использовать для восстановления оксида меди (II) массой 16 г?

Экскурс в теоретическую химию. Водородом можно восстановить железо и остальные металлы правее него в ряду активности.

Li Rb K Ba Sr Ca Na Mg Al Mn Zn Cr Fe Cd Co Ni Sn Pb (H) Sb Bi Cu Hg Ag Pt Au

В литературе имеется информация о восстановлении водородом металлов от магния до железа, но при очень высоких температурах. Основной недостаток восстановления водородом - низкий коэффициент использования водорода (на практике водорода нужно в 2 раза больше, чем рассчитано по уравнению реакции).

Задача решается по Четырем Заповедям. Последовательность действий по Третьей Заповеди (предварительные расчеты):

1) Составляем досье на оксид меди (масса, молярная масса, количество вещества)

2) Делаем расчеты по уравнению реакции (по оксиду меди определяем количество вещества водорода)

3) По уравнению Менделеева-Клапейрона определяем объем водорода

-4

Задача 4

При действии на 10 г смеси меди и алюминия избытком соляной кислоты выделился газ объемом 5,44 л при 20С и 168 кПа. Вычислите массовую долю меди в исходной смеси.

Напомню еще раз: металлы, стоящие в ряду активности левее (Н), реагируют с кислотами-неокислителями с выделением водорода. Металлы, правее (Н), с кислотами-неокислителями не реагируют.

Li Rb K Ba Sr Ca Na Mg Al Mn Zn Cr Fe Cd Co Ni Sn Pb (H) Sb Bi Cu Hg Ag Pt Au

Алюминий реагирует с соляной кислотой (он стоит левее водорода), медь - правее водорода, с соляной кислотой не реагирует. Задача решается по Четырем Заповедям. Определим последовательность действий по Третьей Заповеди (предварительные расчеты):

1) По уравнению Менделеева-Клапейрона определяем количество вещества водорода.

2) Делаем расчеты по уравнению реакции (по водороду определяем количество вещества алюминия).

3) Определяем массовую долю алюминия по стандартной формуле, а массовую долю меди - как оставшуюся разницу (обе массовые доли в сумме составляют 1 или 100%)

-5

Ну как? Получили удовольствие от решения задач? Это был риторический вопрос. По этому поводу у меня есть забавная история из моей практики.

Более десяти лет назад я работала с учеником Сашей (фамилия слишком известная, поэтому ее не назову, даже если пытать будете). Саша пришел ко мне с очень слабыми знаниями. За год работы у мальчика прорезался интерес к решению задач по химии, и мы подружились. Нам приходилось работать 5 дней в неделю, по 4 часа в день (это было требование отца Саши, очень влиятельного чиновника). К концу года мы оба (я и Саша) изрядно устали от такой напряженной работы. На последнее занятие мальчик пришел с огромным букетом орхидей, который едва протиснулся в дверной проем. Мне никогда еще не дарили такой шикарный и, видимо, очень дорогой букет. Я поблагодарила Сашу примерно такими словами: "Сашуля, большое спасибо! Такой роскошный букет - это подарок за большую, сложную и результативную работу, которую мы с тобой проделали!" Сашин ответ сразил меня наповал: "Валентина Георгиевна! За этот год вы стали для меня второй мамой. Я вас очень люблю. Но букет этот я дарю вам за то, что, слава Богу, сегодня последнее занятие по химии!" Мы оба смеялись до слез 😂😂😂😂😂

На закуску - тайные признания виртуального робота Сири. Смотрите, слушайте, можете попробовать сами поиграть со своими гаджетами. Только запаситесь терпением - перлы начинают появляться только после долгого доставания программы.

Вы готовитесь к ЕГЭ и хотите поступить в медицинский? Обязательно посетите мой сайт Репетитор по химии и биологии. Здесь вы найдете огромное количество задач, заданий и теоретического материала, познакомитесь с моими учениками, многие из которых уже давно работают врачами. Звоните мне +7(903) 186-74-55. Приходите ко мне на курс, на Мастер-классы "Решение задач по химии" - и вы сдадите ЕГЭ с высочайшими баллами, и станете студентом престижного ВУЗа!

PS! Если вы не можете со мной связаться из-за большого количества звонков от моих читателей, пишите мне в личку ВКонтакте или на Facebook. Я обязательно отвечу вам.

Репетитор по химии и биологии кбн В.Богунова