Найти в Дзене

Секретная шпаргалка по химии. 4.3. Горение смеси газов

Ребята, как мне нравится ваша реакция на мои статьи! Это что-то! Раньше я даже не подозревала, что буду получать удовольствие от написания статей, а еще большее удовольствие - от вашей реакции на них. В цирк ходить не нужно. Правда, пишут в комментариях мало, боятся попасться мне на зубок. Правильно боятся. Нехороший комментарий включает во мне дух воина-победителя, который издает боевой крик "Давай играть, как будто я голодная гиена, а ты - кость!" Дальше я за себя не отвечаю... Моим почитателям лучше не знать, чем такая игра заканчивается. А недруги до сих пор раны зализывают и, давясь слезами, фанатично читают мои статьи, издавая нервное икание. Пишут мало, зато звонят много. И утром звонят, и днем звонят, и вечером звонят. Многие вполне нормальные вопросы задают, знакомятся и получают на свои вопросы вполне нормальные ответы. Но есть такие... Я же говорю, в цирк можно не ходить - развлекают прямо дома, за чашечкой кофе, бесплатно. Настоящее реалити-шоу! Народ не знает, что у меня н

Ребята, как мне нравится ваша реакция на мои статьи! Это что-то! Раньше я даже не подозревала, что буду получать удовольствие от написания статей, а еще большее удовольствие - от вашей реакции на них. В цирк ходить не нужно. Правда, пишут в комментариях мало, боятся попасться мне на зубок. Правильно боятся. Нехороший комментарий включает во мне дух воина-победителя, который издает боевой крик "Давай играть, как будто я голодная гиена, а ты - кость!" Дальше я за себя не отвечаю... Моим почитателям лучше не знать, чем такая игра заканчивается. А недруги до сих пор раны зализывают и, давясь слезами, фанатично читают мои статьи, издавая нервное икание.

Пишут мало, зато звонят много. И утром звонят, и днем звонят, и вечером звонят. Многие вполне нормальные вопросы задают, знакомятся и получают на свои вопросы вполне нормальные ответы. Но есть такие... Я же говорю, в цирк можно не ходить - развлекают прямо дома, за чашечкой кофе, бесплатно. Настоящее реалити-шоу! Народ не знает, что у меня на телефоне стоит программа-диктофон. Пишет все разговоры. И номер телефона тоже высвечивается. Обязательно помещу эти разговоры на YouTube и дам ссылку на Яндекс Дзен. Читайте мои статьи, и вы тоже услышите много чего интересного! Кстати, тех, кто дочитает статью до конца, ждет очень интересный подарок "На закуску"!

А теперь - к основной теме статьи. Я обещала рассказать хайповый прикол 28-го задания ЕГЭ? Выполняю обещание. Только не спрашивайте, откуда я это знаю - сорока на хвосте принесла и на ушко нашептала. Согласно "Спецификации контрольных измерительных материалов для проведения в 2019 году единого государственного экзамена по ХИМИИ" (серьезный документ ФИПИ), 28-е задание в проверяемые элементы содержания включает "Расчеты объемных отношений газов при химических реакциях. Расчеты по термохимическим уравнениям". Сегодня речь пойдет только о реакциях с газами (термохимию рассмотрим позже). До 2018 года задачи 28-го задания были несложными. Давайте вспомним:

Задание 28

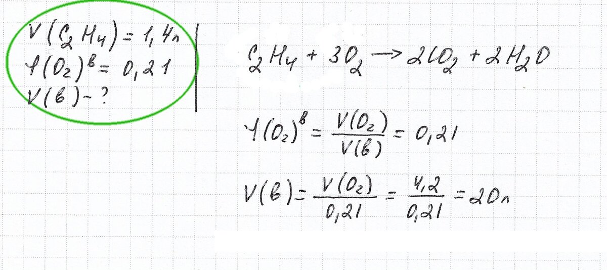
Рассчитайте объем воздуха, необходимый для сжигания 1,4 л этилена. Считать объемную долю кислорода в воздухе равной 21%.

Задачу решаем стандартно, по Четырем Заповедям.

1) Первая Заповедь. Выписать данные задачи в разделе "Дано"

2) Вторая Заповедь. Написать уравнение реакции

-2

3) Третья Заповедь. Сделать предварительные расчеты по данным условия задачи и по уравнению реакции. По уравнению реакции определяем объем кислорода.

-3

4) Четвертая заповедь. Составить алгоритм решения задачи. Объем воздуха рассчитываем по формуле объемной доли кислорода в воздухе

-4

Как вы убедились, задача абсолютно легкая. Такого же уровня сложности и все остальные задания 28-й позиции. Но... мы наблюдаем тенденцию ежегодного усложнения заданий ЕГЭ. Я считаю, это абсолютно правильно! Химию сдают будущие медики, которым мы с вами доверим самое дорогое, что у нас есть - наши жизни. Думаю, никто из нас не захочет иметь дело с туповатым врачом, все ищут доктора получше. Потому медицинские ВУЗы стараются отбирать толковых учеников. Как это сделать? На простых заданиях невозможно определить достойный уровень знаний. Сложные задачи - хороший индикатор! Тот, кто хорошо решает задачи по химии, становится отличным врачом-диагностом (доказано на армии моих самых любимых учеников). Для повышения уровня знаний и мастерства будущих медиков (и не только) раскрываю великую тайну - новые приколы 28-го задания ЕГЭ. Почему множественное число? Потому что их, как минимум, четыре:

1) Расчеты по уравнениям реакции горения смеси газов, состав которой нужно определить предварительно
2) Определение объемного состав смеси по продуктам сжигания (задачи на уравнения с двумя неизвестными)
3) Определение состава смеси газообразных продуктов, если в условии избыток-недостаток, степень превращения или выход реакции
4) Задачи на изменение объема газовой смеси в процессе реакции

Каждый алгоритмический прием (прикол, фишку) я опишу в отдельной статье, с подробным глубоким анализом соответствующих задач. Сегодня мы разложим по полочкам первое гипотетическое нововведение "Расчеты по уравнениям реакции горения смеси газов, состав которой нужно определить предварительно". Итак, поехали!

Прежде чем вы приступите к изучению новых алгоритмических приемов 28-го задания, настоятельно рекомендую внимательно прочитать статью "Секретная шпаргалка по химии. 4.2. Состав смеси газов", в котороя я рассказала о газовых смесях, плотности газа (абсолютной и относительной), средней молярной массе смеси газов, разложила по полочкам алгоритмы решения задач на определение средней молярной массы и плотности газа по компонентам газовой смеси и наоборот.

-5

Задание 28*(1)

Рассчитайте объем воздуха, необходимый для сжигания 20 л смеси СО и Н2 (н.у.). Плотность этой смеси по аммиаку - 1,2.

Решаем задачу с применением Четырех Заповедей (шагов). Каждое выполненное действие обводится зеленым овалом.

1) Первая Заповедь. Выписать данные задачи в разделе "Дано".

-6

2) Вторая заповедь. Написать уравнение реакции.

В задаче протекает две реакции. При написании реакций, не забываем делать отступ над каждой - для дальнейших расчетов.

-7

3) Третья заповедь. Сделать предварительные расчеты

В задачах со смесями газов, предварительные расчеты связаны с определением состава смеси и объема каждого газа в смеси. Состав смеси газов определяем стандартно, по формуле расчета средней молярной массы. вначале рассчитываем значение средней молярной массы по относительной плотности

-8

Затем, по основной формуле составляем уравнение и решаем его

-9

Определяем объем каждого газа в смеси по расчитанным объемным долям и делаем расчеты по уравнению реакции

-10

4) Четвертая заповедь. Составить алгоритм решения задачи.

Алгоритм решения составляем по вопросу задачи: "Рассчитайте объем воздуха..." Объем воздуха расчитывают по объему кислорода и объемной доле кислорода в воздухе. Вначале определяем общий объем кислорода, который был затрачен на сжигание газов

-11

Затем, по формуле объемной доли определяем объем воздуха

-12

Решим еще несколько задач с новым алгоритмическим приемом "Расчеты по уравнениям реакции горения смеси газов, состав которой нужно определить предварительно".

Задание 28*(2)

Плотность по водороду смеси метана и угарного газа равна 10. Вычислите объем кислорода (н.у.), который израсходуется на сжигание 5 моль исходной смеси.
-13

Задание 28*(3)

Рассчитайте объем воздуха (н.у.), необходимый для сжигания 4 л эквимолярной смеси метана и угарного газа. Вычислите плотность исходной смеси по аммиаку.
-14

Задание 28*(4)

Вычислите плотность по водороду смеси пропана и метана, если известно, что смесь содержит 40% метана по объему. Какой объем кислорода израсходуется на сжигание 20 л смеси?
-15

Обещанный подарок "На закуску" - задача на газы моего самого любимого автора И.Ю. Белавина. Решайте и наслаждайтесь! "Мама, вытри слезы, а иначе быть беде. Глупые вопросы - что я делаю и где? Пропадаю я - Белавина решаю я!"

И.Ю. Белавин, 2005, задача 206

Избыток кислорода смешали с триметиламином, подожгли, и продукты сгорания привели к нормальным условиям. Определите объемные составы исходной и конечной газовых смесей (в литрах), если известно, что масса исходной газовой смеси оказалась на 8,1 г, а объем на 63,7 % больше массы и объема конечной газовой смеси соответственно. (Ответ: Исходная смесь - V((CH3)3N) = 2,24л; V(О2) = 13,6 л. Конечная смесь - V(СО2) = 6,72 л; V(N2) = 1,12 л; V(О2) = 1,84 л.)

Если вы так ничего и не поняли, не отчаивайтесь. Приходите ко мне на занятия - и вы подготовитесь к любой форме экзамена (ЕГЭ, ДВИ, олимпиада) и сдадите его с максимально высоким баллом!

Вы готовитесь к ЕГЭ и хотите поступить в медицинский? Обязательно посетите мой сайт Репетитор по химии и биологии. Здесь вы найдете огромное количество задач, заданий, теоретического материала и познакомитесь с моими учениками.

Полный каталог статей репетитора Богуновой В.Г. вы найдете на странице сайта Статьи репетитора

Подписывайтесь видео-канал Репетитор по химии и биологии. Ежедневно появляются новые вебинары, видео-уроки, видео-консультации, видео-решения заданий ЕГЭ.

Репетитор по химии и биологии кбн В.Богунова