Найти в Дзене

Секретная шпаргалка по химии. 4.1 Закон Гей-Люссака. Закон Авогадро. Горение

В интернете бушуют страсти вокруг моей статьи "Тайны задач по химии? Вскрытие покажет..." Уже делают ставки по поводу следующей жертвы вскрытия. Мне это дело очень нравится. Когда горят эмоции, людям становится тепло и легче дышится, поскольку сгорает вся ненужная шелупонь. Потому сегодня мы начинаем изучать газы. Это сложная тема, она не уложится в объем одной статьи, равно как и в объем одного занятия. Теория простая, но задачи... Это что-то с чем-то, "гестапо отдыхает". До ЕГЭ пока доплыли элементарные расчеты, представленные в 28 задании. В 34 задаче я несколько раз встречала более сложные фишки, но им еще очень далеко до задач на газы легендарных авторов, таких как Середа И.П. или Белавин И.Ю. Однако, не расслабляйтесь! Задания ЕГЭ с каждым годом "все чудесатее и чудесатее". Сегодня мы поговорим о законе объемных отношений Гей-Люссака, законе Авогадро, связанных с этими законами легких расчетах по уравнениям реакций с газами и о процессе горения. В 1802 году, практически одновр

В интернете бушуют страсти вокруг моей статьи "Тайны задач по химии? Вскрытие покажет..." Уже делают ставки по поводу следующей жертвы вскрытия. Мне это дело очень нравится. Когда горят эмоции, людям становится тепло и легче дышится, поскольку сгорает вся ненужная шелупонь. Потому сегодня мы начинаем изучать газы. Это сложная тема, она не уложится в объем одной статьи, равно как и в объем одного занятия. Теория простая, но задачи... Это что-то с чем-то, "гестапо отдыхает". До ЕГЭ пока доплыли элементарные расчеты, представленные в 28 задании. В 34 задаче я несколько раз встречала более сложные фишки, но им еще очень далеко до задач на газы легендарных авторов, таких как Середа И.П. или Белавин И.Ю. Однако, не расслабляйтесь! Задания ЕГЭ с каждым годом "все чудесатее и чудесатее".

Сегодня мы поговорим о законе объемных отношений Гей-Люссака, законе Авогадро, связанных с этими законами легких расчетах по уравнениям реакций с газами и о процессе горения.

В 1802 году, практически одновременно с Джоном Дальтоном, французский ученый-химик Жозеф Луи Гей-Люссак на основании опытных данных (т.е. эмпирически) сформулировал закон объемных отношений:

"Объемы вступающих в реакцию газов относятся друг к другу и к объемам образующихся газообразных продуктов реакции как небольшие целые числа (измерение объемов газов проводятся при одинаковых температуре и давлении)"

Изложим закон объемных отношений современными понятиями.

Объемы газообразных реагентов и продуктов, измеренные при одинаковых условиях, относятся друг к другу как коэффициенты в уравнении химической реакции.

В 1811 году итальянский химик Амадео Авогадро сформулировал гипотезу, подтвержденную позже большим количеством экспериментов и вошедшую в науку под названием закон Авогадро:

"В равных объемах различных газов, измеренных при одинаковых условиях, содержится одинаковое число молекул"

Оба эти закона легли в основу расчетов по уравнениям реакций с газами. Таким образом, в отличие от твердых веществ и растворов, с газами можно работать, используя две расчетные величины - количество вещества и с объем. Выбираем сами, как нам удобнее.

Горение - экзотермическая реакция окисления простых и сложных веществ кислородом (или озоном). Продукты горения, обычно, оксиды (есть исключение). На представленной внизу схеме хорошо видно, какие продукты образуются при сгорании разных элементов реагента. Кстати, в некоторых случаях продукты горения могут реагировать между собой. Такие реакции также показаны на схеме

Приведу примеры 28 задания ЕГЭ (Расчеты объемных отношений газов при химических реакциях, расчеты по термохимическим уравнениям) Условия задач взяты из тренировочных работ ЕГЭ по химии. Возьмите тетрадку, ручку и попробуйте решить эти задачи - вначале вместе со мной, затем самостоятельно.

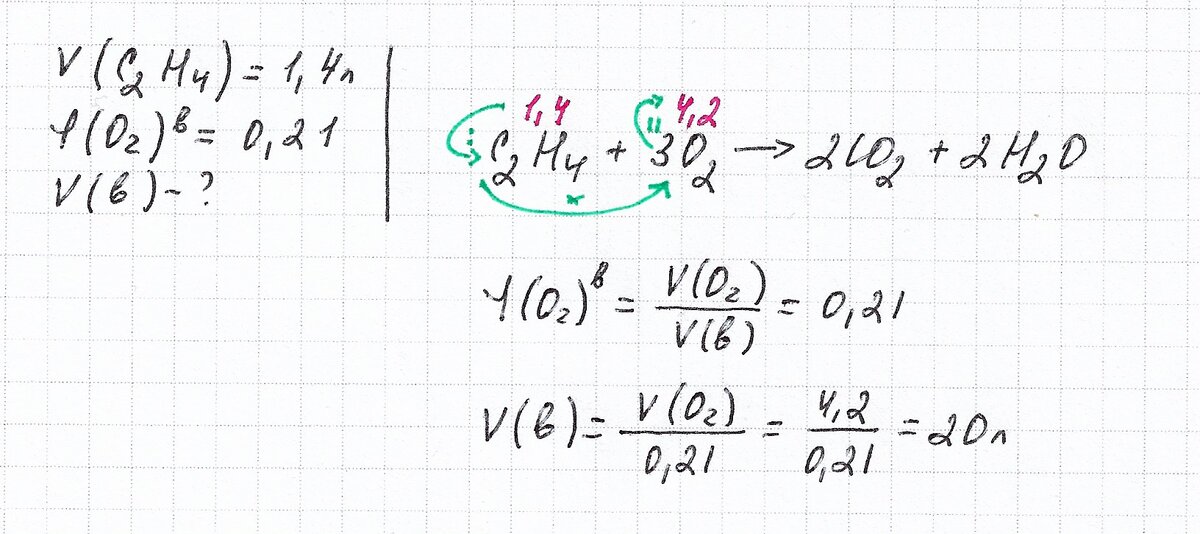
Задача 1

Рассчитайте объем воздуха, необходимый для сжигания 1,4 л этилена. Считать объемную долю кислорода в воздухе равной 21%.

Задачу решаем стандартно, по Четырем Заповедям. По уравнению реакции определяем объем кислорода. Объем воздуха рассчитываем по формуле объемной доли кислорода в воздухе.

-2

Задача 2

Рассчитайте объем кислорода, необходимый для сжигания смеси 2 л метана и 2 л этана.

Реакцию горения записываем для каждого реагента отдельно. Ни в коем случае нельзя записывать все в одну реакцию! По каждой реакции рассчитываем объем кислорода, а затем суммируем эти объемы.

-3

Задача 3

Рассчитайте объем углекислого газа (н.у.), который образуется при горении 40 л метана в 40 л кислорода (н.у.)

В задаче представлены данные для обоих реагентов, поэтому определяем избыток-недостаток (стандартным способом). На фото путь расчета избытка-недостатка показан синими стрелками. Избыток заключается в скобки, расчет проводится по недостатку.

-4

Задача 4

Рассчитайте объем азота (н.у.), полученного при полном сгорании 15 л аммиака (н.у.)

Не забываем, продуктом сгорания элемента азота является простое вещество азот. Монооксид азота NO (бесцветный газ) может быть получен только при использовании катализатора или при очень высокой температуре (разряд молнии, разряд электрической дуги)

-5

Вы готовитесь к ЕГЭ и хотите поступить в медицинский? Обязательно посетите мой сайт Репетитор по химии и биологии http://repetitor-him.ru. Здесь вы найдете огромное количество задач, заданий и теоретического материала, познакомитесь с моими учениками, многие из которых уже давно работают врачами. Звоните мне +7(903) 186-74-55. Приходите ко мне на курс, на Мастер-классы "Решение задач по химии" - и вы сдадите ЕГЭ с высочайшими баллами, и станете студентом престижного ВУЗа!

PS! Если вы не можете со мной связаться из-за большого количества звонков от моих читателей, пишите мне в личку ВКонтакте, или на Facebook. Я обязательно отвечу вам.

Репетитор по химии и биологии кбн В.Богунова