Найти в Дзене

Секретная шпаргалка по химии. 3.3 Расчеты по уравнениям реакций

ЕГЭ по химии 2018 был сложным, уровень задач вплотную приблизился к конкурсным заданиям 90-х в столичных медицинских ВУЗах, 20% выпускников не преодолели даже минимальный порог. Но... "нам не стpашен ни вал девятый, ни холод вечной меpзлоты!" Мы поставили цель - стать врачами, и мы добьемся этой цели, не смотря на все трудности! В конце статьи я обязательно раскрою секрет установки на успех. А пока - грызем гранит знаний. Сегодня мы поучимся выполнять один из самых важных шагов практической химии - расчеты по уравнениям реакций. Этим занимается Стехиометрия – раздел химии, который изучает количественные соотношения между веществами, вступившими в реакцию и образовавшимися в ходе нее. Как же родилась Стехиометрия? Алхимики начали обозначать химические элементы символами. Позже для записи веществ стали использовать химические формулы. В 1615 г. Жан Бегун, автор первого учебника химии "Начала Химии" предложил использовать химические уравнения. В конце XVIII в. философ И. Кант произнес зн

ЕГЭ по химии 2018 был сложным, уровень задач вплотную приблизился к конкурсным заданиям 90-х в столичных медицинских ВУЗах, 20% выпускников не преодолели даже минимальный порог. Но... "нам не стpашен ни вал девятый, ни холод вечной меpзлоты!" Мы поставили цель - стать врачами, и мы добьемся этой цели, не смотря на все трудности! В конце статьи я обязательно раскрою секрет установки на успех. А пока - грызем гранит знаний.

Сегодня мы поучимся выполнять один из самых важных шагов практической химии - расчеты по уравнениям реакций. Этим занимается Стехиометрия – раздел химии, который изучает количественные соотношения между веществами, вступившими в реакцию и образовавшимися в ходе нее.

Как же родилась Стехиометрия? Алхимики начали обозначать химические элементы символами. Позже для записи веществ стали использовать химические формулы. В 1615 г. Жан Бегун, автор первого учебника химии "Начала Химии" предложил использовать химические уравнения. В конце XVIII в. философ И. Кант произнес знаменитые слова: «В каждой естественной науке заключено столько истины, сколько в ней математики». Эти слова произвели огромное впечатление на ученика Канта - немецкого химика И.В. Рихтера, который доказал наличие математической зависимости в химических реакциях. В 1793 г. Рихтер опубликовал работу «Начала стехиометрии, или способ измерения химических элементов». Кстати, первые количественные уравнения химических реакций и термин "стехиометрия" ввел именно Рихтер.

В 1803 г. английский химик Джон Дальтон по результатам экспериментов сформулировал закон простых кратных отношений, который лег в основу расчетов по уравнениям химических реакций

"Если два элемента образуют друг с другом несколько химических соединений, то весовые количества одного элемента, приходящиеся в этих соединениях на одно и то же весовое количество другого элемента, относятся между собой как небольшие целые числа"
Современная формулировка: "Количества веществ реагентов и продуктов относятся друг к другу как коэффициенты в уравнении химической реакции"

Обобщим основные Критерии Расчетов по уравнениям реакций:

1) Расчеты по уравнениям реакций проводят на основании закона простых кратных отношений
2) Основная расчетная величина - количество вещества (моль). НЕЛЬЗЯ использовать для расчетов значения масс!
3) Если участники процесса - исключительно газы, можно проводить расчеты в любых объемных единицах на основании закона объемных отношений Гей-Люссака

Решим несложные задачи, используя Четыре Заповеди и основные Критерии Расчетов. Каждое действие обводится зеленым овалом.

Задача 1

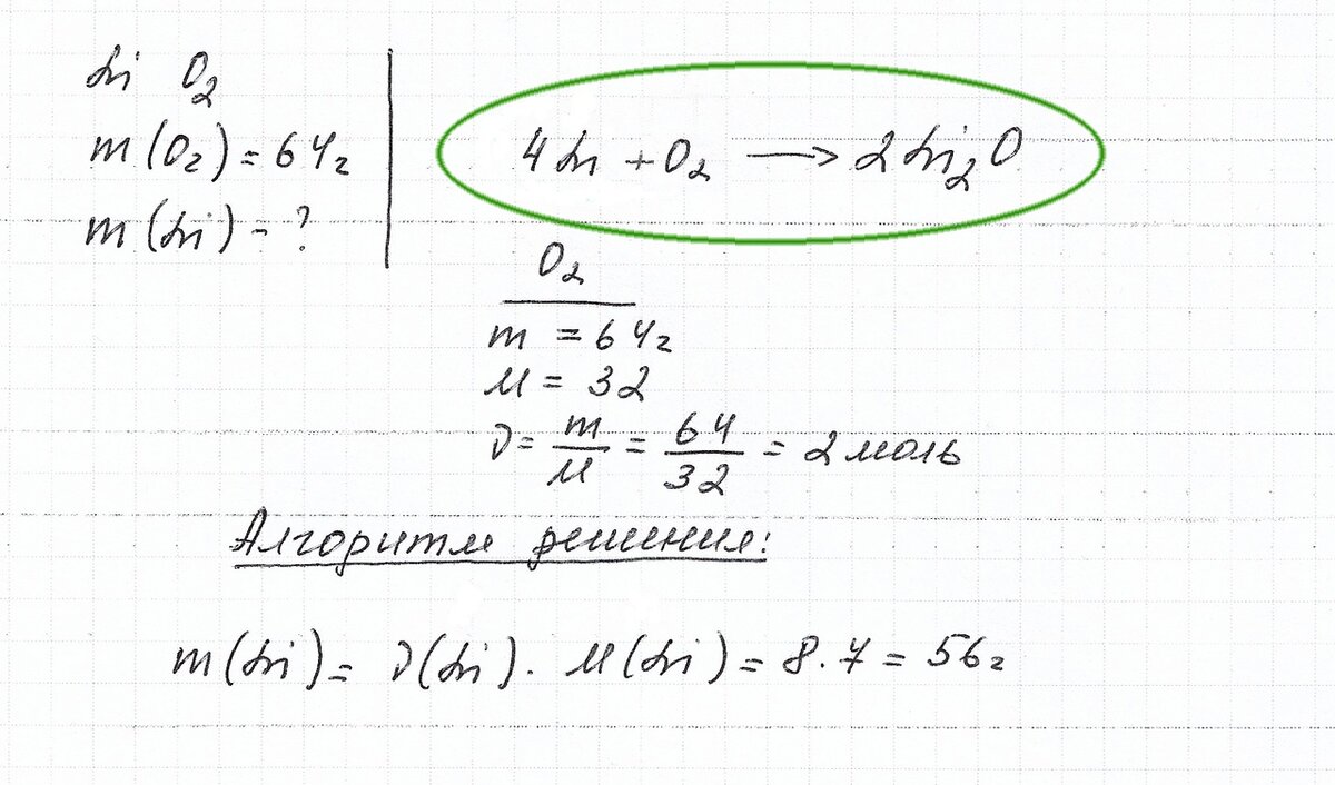
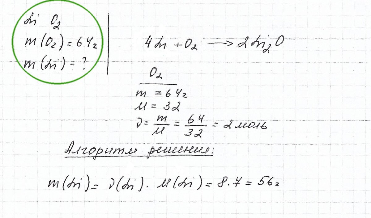
Вычислите массу лития, вступившего в реакцию с 64 г кислорода.

1) Первая Заповедь. Выписать данные задачи в разделе "Дано".

2) Вторая Заповедь. Написать уравнение реакции.

Небольшой экскурс в теорию химии. Литий - металл I(A)-группы (щелочные металлы). Все щелочные металлы реагируют с кислородом уже при комнатной температуре, в связи с чем их хранят под слоем керосина. Запомните: с образованием оксида, с киcлородом реагирует только литий, остальные щелочные металлы при аналогичных условиях образуют пероксиды Ме2О2 и надпероксиды МеО2. Пишем несложное уравнение реакций и расставляем коэффициенты.

-2

3. Третья Заповедь. Сделать предварительные расчеты по данным условия задачи

В условии задачи представлены данные только по кислороду. Составляем досье, в котором обязательно должны быть представлены три величины - масса (или объем), молярная масса, количество вещества (моль).

-3

4. Четвертая заповедь. Составить алгоритм решения задачи.

Формулизируем вопрос задачи "Вычислите массу лития", т.е. записываем формулу расчета массы, которая для нас, как для химиков, должна быть представлена произведением количества вещества на молярную массу. Анализируем компоненты формулы: молярную массу лития определяем по таблице Менделеева, количество вещества лития рассчитываем по уравнению реакции.

-4

Расчеты по уравнению реакции выполняем на основании закона кратных отношений по схеме: точку расчета (количество вещества кислорода) делим на коэффициент при этом веществе, умножаем на коэффициент при искомом веществе и получаем результат. Выписывать отдельно пропорцию для расчетов не обязательно. Это - Легкие Расчеты по уравнениям реакций, которые не противоречат закону кратных отношений, но значительно упрощают решение задач по химии.

-5

Задача 2

Сколько граммов оксида магния получится при разложении 252 г карбоната магния МgСО3?

Немного теории. Все нерастворимые карбонаты, а также карбонаты лития и аммония, разлагаются при нагревании: карбонаты металлов разлагаются до оксида металла и углекислого газа, карбонат аммония при разложении образует аммиак, углекислый газ и воду.

Последовательность действия, выполняемых при решении задачи:

1) Выписать данные в разделе "Дано"

2) Написать уравнение реакции

3) Сделать предварительные расчеты

4) Составить алгоритм решения

5) Выполнить анализ и расчеты по главной формуле алгоритма

-6

Задача 3

Сколько меди можно получить из 160 г ее оксида при восстановлении водородом?

Немного теории. Железо и остальные металлы правее него в ряду активности металлов можно восстановить водородом из их оксидов.

Li→Rb→K→Ba→Sr→Ca→Na→Mg→Al→Mn→Cr→Zn→Fe→Cd→Co→Ni→Sn→Pb→(H)→Sb→Bi→Cu→Hg→Ag→Pd→Pt→Au

Последовательность действия, выполняемых при решении задачи:

1) Выписать данные в разделе "Дано"

2) Написать уравнение реакции

3) Сделать предварительные расчеты

4) Составить алгоритм решения

5) Выполнить анализ и расчеты по главной формуле алгоритма

-7

Секретная установка на успех

Утром, встав с постели, повторяем три раза, четко произнося каждое слово: "Я обязательно сдам ЕГЭ по химии на 95+, если буду заниматься: системно, добросовестно, ежедневно!" Этот прием работает на 100%! Проверено моими учениками.

Вы готовитесь к ЕГЭ и хотите поступить в медицинский? Обязательно посетите мой сайт Репетитор по химии и биологии http://repetitor-him.ru. Здесь вы найдете огромное количество задач, заданий и теоретического материала, познакомитесь с моими учениками, многие из которых уже давно работают врачами. Звоните мне +7(903) 186-74-55. Приходите ко мне на курс, на Мастер-классы "Решение задач по химии" - и вы сдадите ЕГЭ с высочайшими баллами, и станете студентом престижного ВУЗа!

PS! Если вы не можете со мной связаться из-за большого количества звонков от моих читателей, пишите мне в личку ВКонтакте, или на Facebook. Я обязательно отвечу вам.

Репетитор по химии и биологии кбн В.Богунова