Добавить в корзинуПозвонить
Найти в Дзене

Ты готов к ЕГЭ по химии 2019? Прочитай! Пригодится! 28-е задание (газы). Раз плюнуть!

Вы хотите подготовиться к ЕГЭ по химии фундаментально, профессионально, результативно, получая удовольствие от каждой стадии образовательного процесса? Тогда вам сюда! Читайте с радостью - учитесь с удовольствием! Газы - одна из самых сложных тем в общей химии. Задачи на газы, обычно, дают на засыпку. Можете убедиться сами, прочитав статью, в которой я решаю одну из задач Белавина на газы Тайны задач по химии? 4. Решаем Белавина (2006, задача 233). Кто смелый? В текущем учебном году я со своими учениками уже закончила изучать тему "Газы". Ребята, реально, устали. Но газы сделали свое дело - они перевели их мышление на правильные рельсы - система, логика, анализ. Еще два месяца назад мои ученики были желторотики, а сейчас - почти мастера. Они мыслят намного рациональнее собственных химичек, да и задачи решают намного быстрее, поскольку владеют легкими методами расчетов. Приведу пример. Одна из моих учениц (назовем ее Анна) в школе на контрольной работе по химии решала задачи на газы.

Вы хотите подготовиться к ЕГЭ по химии фундаментально, профессионально, результативно, получая удовольствие от каждой стадии образовательного процесса? Тогда вам сюда! Читайте с радостью - учитесь с удовольствием!

Газы - одна из самых сложных тем в общей химии. Задачи на газы, обычно, дают на засыпку. Можете убедиться сами, прочитав статью, в которой я решаю одну из задач Белавина на газы Тайны задач по химии? 4. Решаем Белавина (2006, задача 233). Кто смелый?

В текущем учебном году я со своими учениками уже закончила изучать тему "Газы". Ребята, реально, устали. Но газы сделали свое дело - они перевели их мышление на правильные рельсы - система, логика, анализ. Еще два месяца назад мои ученики были желторотики, а сейчас - почти мастера. Они мыслят намного рациональнее собственных химичек, да и задачи решают намного быстрее, поскольку владеют легкими методами расчетов. Приведу пример.

Одна из моих учениц (назовем ее Анна) в школе на контрольной работе по химии решала задачи на газы. Нужно было решить 20 задач 28-го задания ЕГЭ и записать правильные ответы в таблицу. Анна справилась с заданием самая первая. Все задачи были решены абсолютно правильно за 10 минут (!!!). Химичка, посмотрев записанные ответы, сказала, что Анна списала их из ГДЗ. Тогда Анна предложила решить одну из задач на доске. Задача была решена и полностью расписана за 1 минуту (на доске при полном расписывании уходит немного больше времени). Химичка поставила Анне "три балла (из пяти)", хотя ответ задачи был абсолютно правильный. На вопрос: "Почему три?!", прозвучал ответ-пощечина: "Ты решала задачу не так, как я объясняла!". "Но если решать так, как объясняете вы, уходит 5-10 минут времени на одну задачу!" Еще одна пощечина: "Методисты требуют, чтобы вы решали задачи по-другому!" Однако, химичка не учла того, что Анна, работая со мной, стала совершенно другой. Она научилась мыслить, т.е. научилась видеть системно любую поступающую информацию, приобрела навыки анализа структурных компонентов задачи, овладела умением абстрагироваться. И она уже могла отличить рациональное решение задачи от допотопного. Ответ Анны прозвучал, как приговор всей школьной системе контроля знаний: "Вы можете мне ставить любую оценку, она никак не повлияет на результаты ЕГЭ!"

Расскажу анекдот. Параллели не провожу.

Медсестра везет по коридору каталку с больным.
— Сестра, может, всё же в реанимацию?
— Доктор сказал в морг, значит в морг.

В конце статьи я расскажу еще один анекдот. События в нем будут разворачиваться уже на кладбище.

Химички и химичи! Ваше упрямство, ваше нежелание видеть дальше собственного носа, ваши амбиции - все это говорит о том, что вам откровенно плевать, как ученики будут решать задачи, как научатся разбираться в химии и как справятся со всеми своими проблемами на ЕГЭ! Срочно меняйтесь! Берите пример со своих учеников! Решайте задачи с удовольствием, легко! Можете решать задачи по моей методике. Кстати, я ни на йоту не отступаю от канонов, установленных корифеями. Я только совсем чуть-чуть систематизирую, рационализирую и визуализирую решения задачи. Результат: задача занимает небольшой объем в тетрадке, хорошо виден каждый ее этап, на решение задачи уходит немного времени (в среднем, в 5-10 раз меньше, чем "рекомендовано методистами").

Канон - традиционная, не подлежащая пересмотру совокупность законов и правил в различных сферах деятельности и жизни человека
Корифей - (в древнегреческой трагедии - предводитель хора) выдающийся деятель в какой-либо области знания

Переходим к основной теме статьи - анализ задач 28-го задания ЕГЭ (Расчеты объемных отношений газов при химических реакциях, расчеты по термохимическим уравнениям). Сегодня мы рассмотрим совершенно легкие задачи, которые решаются на "Раз плюнуть!", со скоростью одна задача в минуту. Условия задач взяты из тренировочных работ ЕГЭ по химии. Возьмите тетрадку, ручку и попробуйте решить эти задачи - вначале вместе со мной, затем самостоятельно.

Теоретической основой алгоритмов решения таких задач являются два закона: закон объемных отношений Гей-Люссака и закон Авогадро.

● В 1802 году французский ученый-химик Жозеф Луи Гей-Люссак на основании опытных данных (т.е. эмпирически) сформулировал закон объемных отношений:

Объемы вступающих в реакцию газов относятся друг к другу и к объемам образующихся газообразных продуктов реакции как небольшие целые числа (измерение объемов газов проводятся при одинаковых температуре и давлении)

Изложим закон объемных отношений современными понятиями:

Объемы газообразных реагентов и продуктов, измеренные при одинаковых условиях, относятся друг к другу как коэффициенты в уравнении химической реакции.

● В 1811 году итальянский химик Амадео Авогадро сформулировал гипотезу, подтвержденную позже большим количеством экспериментов и вошедшую в науку под названием закон Авогадро:

В равных объемах различных газов, измеренных при одинаковых условиях, содержится одинаковое число молекул

Оба эти закона легли в основу расчетов по уравнениям реакций с газами.

Давайте, решим задачи 28-го задания ЕГЭ. Я покажу вам, как можно расчитывать объемы газов прямо по уравнениям реакций. Это не новый закон Богуновой, а нехитрый прием, основанный на законе объемных отношений Гей-Люсса. В отличие от стандартных расчетов, нам не нужно выписывать соотношения объемов реагентов и продуктов и делать вычисления, исходя из составленных отношений. Мы используем само уравнение реакции как полигон для расчетов.

Легкие расчеты по уравнения реакций: точку расчета делим на собственный коэффициент (ныряем вниз в пучину расчетов) и умножаем на коэффициент при искомом веществе (выныриваем на поверхность за результатом)

Легкие расчеты по уравнениям реакций значительно сокращают время решения, не забивают оформление задачи лишней информацией, делают его гораздо более визуализированным (т.е. все разложено по полочкам и весь алгоритм виден, как на ладони).

Задание 28 (1)

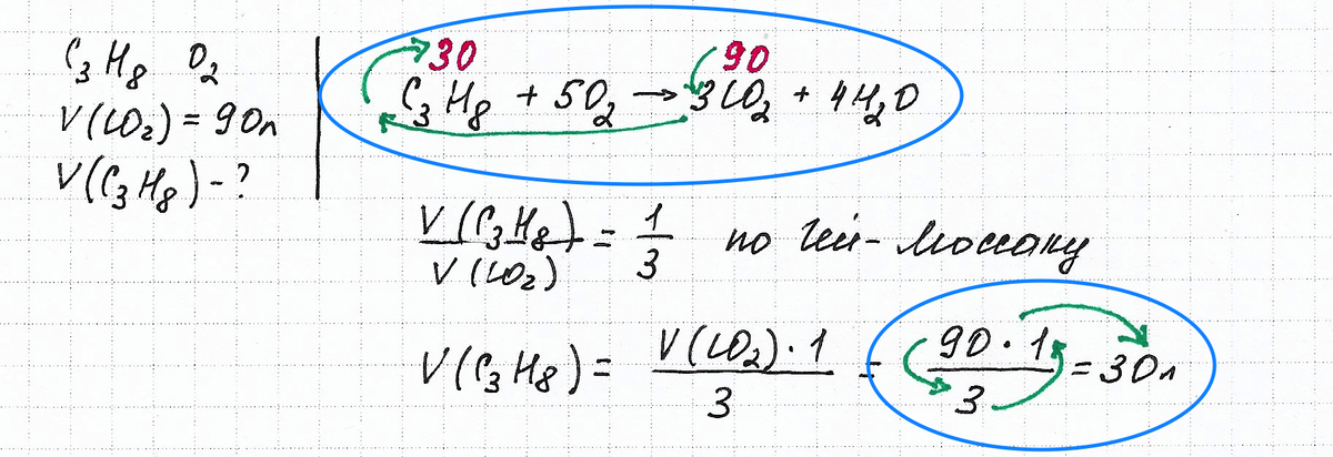
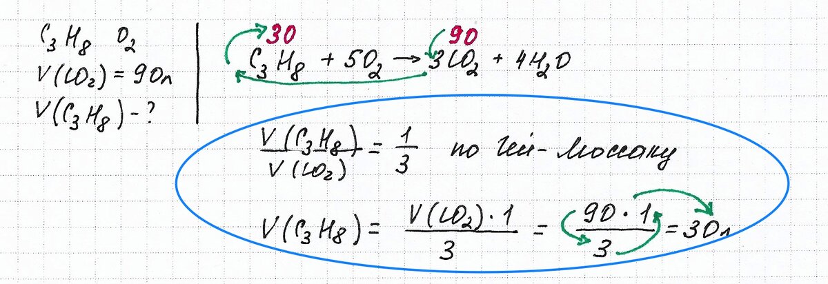
При сгорании пропана выделилось 90 л углекислого газа. Определите объем сгоревшего пропана. Объёмы газов из­ме­ре­ны при оди­на­ко­вых условиях

Перечислим выполняемые действия:

1) Выписать данные в разделе "Дано"

2) Написать уравнение реакции

3) Сделать расчеты по уравнению реакции

Более подробно поговорим о расчетах. На основании закона объемных отношений Гей-Люссака, объем пропана и объем углекислого газа относятся друг к другу как их коэффициенты (1 : 3). Отсюда рассчитываем объем пропана. Расчеты по соотношениям обведены голубым овалом.

Легкие расчеты с газами можно проводить прямо по уравнению реакции: точку расчета над углекислым газом делят на его коэффициент и умножают на коэффициент при пропане, получая результат. Вычисления обведены верхним голубым овалом.

Обратите внимание на нижний голубой овал. Вы увидите точно такое же направление стрелок, и точно такой же результат.

-2

Задание 28 (2)

Вычислите объём азота (н. у.), который об­ра­зу­ет­ся при пол­ном сго­ра­нии 89,6 л (н. у.) аммиака

Выполняемые действия:

1) Выписать данные в разделе "Дано"

2) Написать уравнение реакции

3) Сделать расчеты по уравнению реакции

Немного теории. При сжигании азотсодержащих веществ образуется простой газ азот. Это нужно помнить обязательно, таких заданий много. Оксиды азота образуются только при каталитическом окислении.

-3

Задание 28 (3)

Для об­жи­га суль­фи­да цинка по­тре­бо­ва­лось 156 л кислорода. Вычислите объём об­ра­зо­вав­ше­го­ся ок­си­да серы (IV). Объёмы газов из­ме­ре­ны при оди­на­ко­вых условиях

Выполняемые действия:

1) Выписать данные в разделе "Дано"

2) Написать уравнение реакции

3) Сделать расчеты по уравнению реакции

-4

Задание 28 (4)

Определите объём водорода, необходимый для полного гидрирования 80 л ацетилена. Объёмы газов измерены при одинаковых условиях

Выполняемые действия:

1) Выписать данные в разделе "Дано"

2) Написать уравнение реакции

3) Сделать расчеты по уравнению реакции

-5

Задание 28 (5)

Какой объем (н.у.) аммиака может теоретически образоваться при взаимодействии 70 л (н.у.) азота с необходимым объемом водорода?

Выполняемые действия:

1) Выписать данные в разделе "Дано"

2) Написать уравнение реакции

3) Сделать расчеты по уравнению реакции

-6

Задание 28 (6)

Какой объем (н.у.) кислорода потребуется для полного сгорания 24 л (н.у.) ацетилена?

Выполняемые действия:

1) Выписать данные в разделе "Дано"

2) Написать уравнение реакции

3) Сделать расчеты по уравнению реакции

-7

Задание 28 (7)

Какой объем (н.у.) кислорода необходим для окисления 18 л (н.у.) оксида азота (II)?

Выполняемые действия:

1) Выписать данные в разделе "Дано"

2) Написать уравнение реакции

3) Сделать расчеты по уравнению реакции

-8

Задание 28 (8)

Сколько литров кислорода потребуется для каталитического окисления 54 л оксида серы (IV)? Объемы газов измерены при одинаковых условиях.

Выполняемые действия:

1) Выписать данные в разделе "Дано"

2) Написать уравнение реакции

3) Сделать расчеты по уравнению реакции

-9

Задание 28 (9)

Для окисления сероводорода до оксида серы (IV) потребовалось 21 л кислорода. Чему равен объем прореагировавшего сероводорода? Объёмы газов из­ме­ре­ны при оди­на­ко­вых условиях.

Выполняемые действия:

1) Выписать данные в разделе "Дано"

2) Написать уравнение реакции

3) Сделать расчеты по уравнению реакции

-10

Надеюсь, решив девять задач (совершенно легких), вы освоили расчеты по уравнению реакций с газами. В следующей статье обязательно поговорим о более сложных вариантах газовых задач 28-го задания ЕГЭ.

Пришло время прощаться. Не болейте, не шалите, не пейте много воды на ночь, кушайте витамины, делайте зарядку по утрам и не забывайте говорить своим мама о том, как сильно вы их любите! До встречи на полях Яндекс Дзен! Да, чуть не забыла! Читайте еще один анекдот и не поступайте так, как эти не очень умные люди из анекдота.

- Ой, а у нас тут такое было! Мужика притащили хоронить на кладбище, а он, раз, садится в гробу: дескать оп-па! А я живой! Что тут началось! Все радуются, смеются, хлопушки взрывают, кто-то шарики веселые притащил, жена от радости плачет. В общем, еле закопали...

Вы готовитесь к ЕГЭ и хотите поступить в медицинский? Обязательно посетите мой сайт Репетитор по химии и биологии http://repetitor-him.ru. Здесь вы найдете огромное количество задач, заданий и теоретического материала, познакомитесь с моими учениками, многие из которых уже давно работают врачами. Звоните мне +7(903) 186-74-55. Приходите ко мне на курс, на Мастер-классы "Решение задач по химии" - и вы легко сдадите ЕГЭ и станете студентом престижного ВУЗа!

PS! Если вы не можете со мной связаться из-за большого количества звонков от моих читателей, пишите мне в личку ВКонтакте, или на Facebook. Я обязательно отвечу вам.

Репетитор по химии и биологии кбн В.Богунова