Найти в Дзене
Войти
СпецКурс
463 подписчика
Подписаться
А8 ДЗ Решение двойных радикалов
21 декабря 2025
21 дек 2025
6
~1 мин
Как это решать?
Как это решать?
...
Читать далее
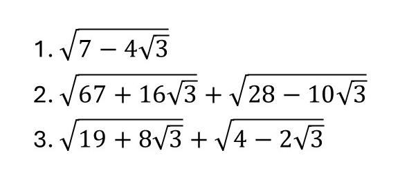
Упростите:
Как это решать?
rutube.ru
А8 ДЗ Решение двойных радикалов
3403818743.924.1775604360005.51278