Добавить в корзинуПозвонить
Найти в Дзене
Физика

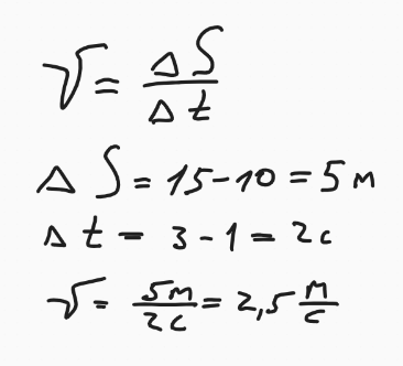
На рисунке представлен график зависимости пути S от времени t. Определите скорость материальной точки в интервале времени от 1 до 3 с.

На рисунке представлен график зависимости пути S, пройденного материальной точкой, от времени t. Определите скорость материальной точки в интервале времени от 1 до 3 с. (Легкий уровень) Ответ: V= 2,5 м/с Так же вы сможете найти на канале задачи для повышения уровня "решения задач".

На рисунке представлен график зависимости пути S, пройденного материальной точкой, от времени t. Определите скорость материальной точки в интервале времени от 1 до 3 с. (Легкий уровень)

Решение:

-2

Ответ: V= 2,5 м/с

Так же вы сможете найти на канале задачи для повышения уровня "решения задач".