Добавить в корзинуПозвонить
Найти в Дзене
Живой репетитор

Вынесение скобки за СКОБКИ.7 КЛАСС.

Вынесение за скобки - это операция, при которой один и тот же множитель выносится за каждый элемент скобки или за каждый член многочлена. Это делается с целью упрощения выражения или многочлена и упрощения дальнейших математических действий. ПРАВИЛО МОЖНО ВЫНОСИТЬ НЕСКОЛЬКО СКОБОК, ГЛАВНОЕ ЧТОБЫ ОНИ БЫЛИ АБСОЛЮТНО ОДИНАКОВЫЕ: ПРИМЕР 1 ПРИМЕР 2 ПРИМЕР 3 ПРИМЕР 4 ПРИМЕР 5 Теперь попробуйте самостоятельно: P.S.:Вы можете связаться со мной, если хотите понять математику, улучшить свои навыки или подготовиться к экзаменам. Телеграмм: @DVV01 Ответы

Вынесение за скобки - это операция, при которой один и тот же множитель выносится за каждый элемент скобки или за каждый член многочлена. Это делается с целью упрощения выражения или многочлена и упрощения дальнейших математических действий.

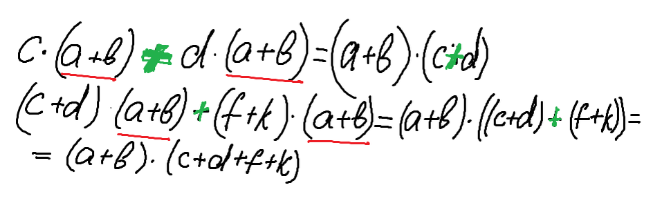
ПРАВИЛО

-2

МОЖНО ВЫНОСИТЬ НЕСКОЛЬКО СКОБОК, ГЛАВНОЕ ЧТОБЫ ОНИ БЫЛИ АБСОЛЮТНО ОДИНАКОВЫЕ:

-3

ПРИМЕР 1

-4

ПРИМЕР 2

-5

ПРИМЕР 3

-6

ПРИМЕР 4

-7

ПРИМЕР 5

-8

Теперь попробуйте самостоятельно:

-9

P.S.:Вы можете связаться со мной, если хотите понять математику, улучшить свои навыки или подготовиться к экзаменам.

-10

Телеграмм: @DVV01

Ответы

-11