Добавить в корзинуПозвонить
Найти в Дзене
Живой репетитор

Квадратные уравнения - теорема Виета

Квадратные уравнения можно решать не только через D и D1, но и с помощью т. Виета.(портер ученого выше)
Т. Виета: Сумма корней приведенного квадратного уравнения равна второму коэффициенту, взятому с противоположным знаком, а произведение корней равно свободному коэффициенту.
Теорему возможно применить при а=1 3. Начинаем подбирать корни сначала по умножению, а после проверяем их по сумме.
4. Записываем ответ.
Пример 1
1. шаг, проверка коэффициента а=1.
2. шаг, проверка D(D1)>0 или D(D1)=0. В нашем случае D>0.
3. шаг, выписываем шаблон формулы и подставляем -b=(-5) и c=-14.
4.Подбираем в голове такие пары числе, которые могут при счете дать нужную с.
5. Подбираем из уже ранее выписанных пар сумму чисел, которые дадут нужную -b.
6. Заносим в ответ эти числа. В нашем примере это х1=-7, а х2=2.
P.S.:Вы можете связаться со мной, если хотите понять математику, улучшить свои навыки или подготовиться к экзаменам.
Телеграмм: @DVV01
Франсуа Виет
Франсуа Виет

Квадратные уравнения можно решать не только через D и D1, но и с помощью т. Виета.(портер ученого выше)

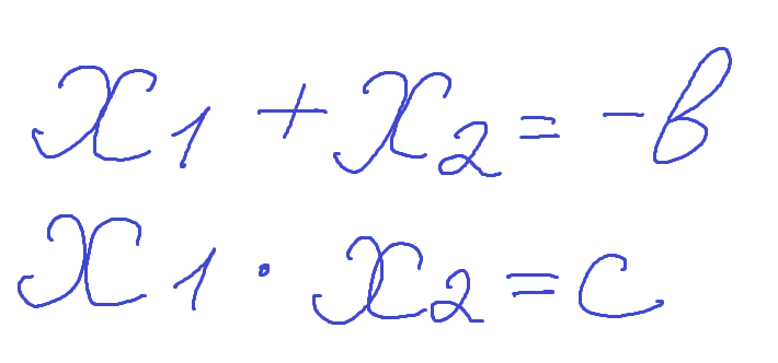
Т. Виета: Сумма корней приведенного квадратного уравнения равна второму коэффициенту, взятому с противоположным знаком, а произведение корней равно свободному коэффициенту.
Теорему возможно применить при а=1

  • Как применять эту теорему?
    1.Необходимо посчитать D и D1. Если при расчете D или D1 получились значения больше 0 или 0, то можно переходить ко второму шагу. В противном случае необходимо определить, что D или D1 меньше 0 и уравнение корней не имеет.
    2.Выписываем будущие корни уравнения и создаем два уравнения:
-2

3. Начинаем подбирать корни сначала по умножению, а после проверяем их по сумме.
4. Записываем ответ.

Пример 1

-3

1. шаг, проверка коэффициента а=1.
2. шаг, проверка D(D1)>0 или D(D1)=0. В нашем случае D>0.
3. шаг, выписываем шаблон формулы и подставляем -b=(-5) и c=-14.
4.Подбираем в голове такие пары числе, которые могут при счете дать нужную с.
5. Подбираем из уже ранее выписанных пар сумму чисел, которые дадут нужную -b.
6. Заносим в ответ эти числа. В нашем примере это х1=-7, а х2=2.

P.S.:Вы можете связаться со мной, если хотите понять математику, улучшить свои навыки или подготовиться к экзаменам.
Телеграмм: @DVV01