Добавить в корзинуПозвонить
Найти в Дзене

Это что за город? Универсальный ответ от географов из Тверской области

Хаотичные впечатления от посещения любого города можно красиво подать с помощью одного научного концепта. Надо только дополнить свои представления географическими знаниями, краеведческой информацией, наблюдением и разговорами с местными. Полученная в итоге картина составит формулу места. Концепция формулы места была описана на страницах журнала «Региональные исследования» в 2013. Ее автор, пермский географ Александр Зырянов, предложил это словосочетание как синоним краткой и емкой формулировки главных свойств территории. Малые города Тверской области Мы попытались сформулировать такие «формулы» для четырех малых городов Тверской области, для которых в 2020 проводили предпроектное исследование для подготовки заявки на конкурс Минстроя РФ. Наши кейсы - Торопец, Калязин, Бежецк и Бологое. Формула места - новая интерпретация классического географического понятия «экономико-географическое положение». Поэтому мы решили начать с основ - определить особенные черты положения выбранных малых г
Оглавление

Хаотичные впечатления от посещения любого города можно красиво подать с помощью одного научного концепта. Надо только дополнить свои представления географическими знаниями, краеведческой информацией, наблюдением и разговорами с местными. Полученная в итоге картина составит формулу места.

Концепция формулы места была описана на страницах журнала «Региональные исследования» в 2013. Ее автор, пермский географ Александр Зырянов, предложил это словосочетание как синоним краткой и емкой формулировки главных свойств территории.

Малые города Тверской области

Мы попытались сформулировать такие «формулы» для четырех малых городов Тверской области, для которых в 2020 проводили предпроектное исследование для подготовки заявки на конкурс Минстроя РФ. Наши кейсы - Торопец, Калязин, Бежецк и Бологое.

Исследуемые города Тверской области
Исследуемые города Тверской области

Формула места - новая интерпретация классического географического понятия «экономико-географическое положение». Поэтому мы решили начать с основ - определить особенные черты положения выбранных малых городов, которые влияли на них в прошлом и продолжают формировать их уклад в настоящем.

Оси пространственного развития России

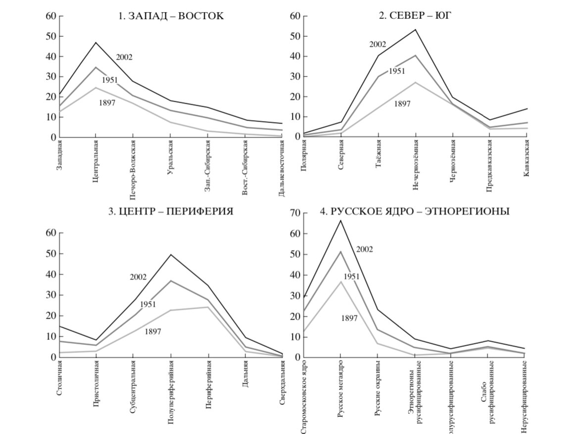
Выбор ключевых черт базировался на известном «перечне» четырех осей географической асимметрии пространства России, предложенным А.И. Трейвишем.

Профили численности населения России в четырех пространственных разрезах (в границах 2009), из статьи С.А. Артоболевского, П.Я. Бакланова, А.И. Трейвиша, 2009
Профили численности населения России в четырех пространственных разрезах (в границах 2009), из статьи С.А. Артоболевского, П.Я. Бакланова, А.И. Трейвиша, 2009

По аналогии с осью «Север – Юг», отражающей природные различия страны, рассмотрены те физико-географические особенности, которые в наибольшей степени влияют на развитие городов. У Тверской области есть выраженные природные доминанты, например, Валдайская возвышенность и Волга.

Ось «Запад – Восток», показывающая неравномерность размещения населения и изменение освоенности при движении с запада на восток, на уровне одного региона может быть интерпретирована через различия в транспортной доступности городов и уровне освоенности окружающих их районов.

В Тверской области мы наблюдаем «инверсию» с общероссийской тенденцией - менее освоенная и более заповедная западная часть, населенный центр и более благоприятный в почвенном отношении восток.

Третья ось – «центр – периферия» – подразумевает положение города как по отношению к внешним центрам, так и собственные, выраженные в разной мере, функции местного центра. Близость к Твери или Москве для городов и районов области играет на важнейшую роль в развитии.

Четвертая ось – «русское ядро –  этнорегионы» - для рассматриваемых городов существенной роли не играет. Хотя для других городов, например, для Лихославля - бывшей столицы Карельского округа - этническую составляющую надо учитывать.

Торопец, Калязин, Бежецк, Бологое

Ключевые черты малых городов
Ключевые черты малых городов

Для каждого города были выделены три главные составляющие, которые в наибольшей степени отражают его состояние и перспективы и могут быть заложены в основу формулы места.

Торопец – древний город на западных склонах Валдайской возвышенности, возглавляющий периферийный район Тверской области и расположенный в удалении от крупных центров.

Вид на озеро Соломено в Торопце (лето 2020)
Вид на озеро Соломено в Торопце (лето 2020)

Калязин – волжский город, находящийся под большим влиянием Московской столичной агломерации, расположенный на пути популярных туристических маршрутов.

Калязинская колокольня, март 2020
Калязинская колокольня, март 2020

Бежецк – центр староосвоенного  района с благоприятными условиями для ведения сельскохозяйственной деятельности, исторически выполняющий организующие функции для обширных окружающих территорий.

Один из самых известных домов в Бежецке, июнь 2021
Один из самых известных домов в Бежецке, июнь 2021
Повышаем узнаваемость малого города через его бренд (пример Бежецка)
В решетке Кристаллера. Городские и сельские исследования28 сентября 2023

Бологое – расположенный на озере крупный железнодорожный узел на пути из Москвы в С.-Петербург.

Бологое, декабрь 2022
Бологое, декабрь 2022

География имеет значение

Каждая «формула» находила отражение в словах местных. Мы проводили в городах экспертные интервью с краеведами, активистами, представителями администрации.  Большинство определяют уникальность и самобытность города через его географию.

Мнения экспертов о городе
Мнения экспертов о городе

Главные черты экономико-географического положения, которые легли в основу «географической формулы», следующие: для Торопца – удаленность и пограничность, для Калязина – расположение на Волге и близость к Московскому региону, для Бежецка – существование его как центра освоенной и  плотнозаселенной территории, для Бологое – функционирование как  железнодорожного узла между двух столиц.  

Условное обозначение особенностей экономико-географического положения малых городов Тверской области (составлено авторами)
Условное обозначение особенностей экономико-географического положения малых городов Тверской области (составлено авторами)

Про каждый город можно написать еще много. Бологое - интересный кейс для исследователей городского фольклора. Про Калязин и его набережную публиковали свои впечатления недавно. Торопец готовится к своему 950-летию в будущем году, обязательно напишем про его преображение. С Бежецком предстоит работа в этом сезоне, так что будем на связи.