Добавить в корзинуПозвонить
Найти в Дзене

Коллективный договор улучшает условия труда работников. Разбираемся, почему так важен этот документ в организациях

Председатель Красноярской краевой организации Общероссийского профсоюза работников культуры Оксана Гаговская рассуждает о важности заключения коллективного договора в организации и о том, чем он отличается от локального нормативного акта. О регулировании отношений между работниками и работодателями В числе основных принципов правового регулирования трудовых отношений и иных непосредственно связанных с ними отношений Трудовой кодекс РФ (ст. 2) предусматривает: Таким образом, отношения между работодателем и работниками могут регулироваться как нормами права, так и договорами, соглашениями. В системе трудовых отношений присутствуют две стороны: Отсутствие в учреждении представителя работников, на мой взгляд, несколько усложняет взаимодействие руководителя с коллективом и в целом управленческий процесс в сфере трудовых отношений. Например, реализовать переговорный процесс по коллективному договору, равно как использовать другие формы социального партнерства (провести взаимные кон
Оглавление

Председатель Красноярской краевой организации Общероссийского профсоюза работников культуры Оксана Гаговская рассуждает о важности заключения коллективного договора в организации и о том, чем он отличается от локального нормативного акта.

О регулировании отношений между работниками и работодателями

В числе основных принципов правового регулирования трудовых отношений и иных непосредственно связанных с ними отношений Трудовой кодекс РФ (ст. 2) предусматривает:

  • сочетание государственного и договорного регулирования трудовых отношений;
  • социальное партнерство, включающее право на участие работников, работодателей, их объединений в договорном регулировании трудовых отношений.

Таким образом, отношения между работодателем и работниками могут регулироваться как нормами права, так и договорами, соглашениями.

В системе трудовых отношений присутствуют две стороны:

  • работодатель, представляемый руководителем организации на основании трудового законодательства;
  • работники, имеющие право на представительство, но не всегда использующие его.

Отсутствие в учреждении представителя работников, на мой взгляд, несколько усложняет взаимодействие руководителя с коллективом и в целом управленческий процесс в сфере трудовых отношений. Например, реализовать переговорный процесс по коллективному договору, равно как использовать другие формы социального партнерства (провести взаимные консультации по вопросам регулирования трудовых отношений, участвовать во внутреннем разрешении трудовых споров), без представителя работников практически невозможно.

Интересы работников при проведении коллективных переговоров, заключении или изменении коллективного договора на локальном уровне представляют первичная профсоюзная организация или иные представители, избираемые работниками, в случаях, когда:

  • работники данного работодателя не объединены в какие-либо первичные профсоюзные организации;
  • или ни одна из имеющихся первичных профсоюзных организаций не объединяет более половины работников данного работодателя и не уполномочена в порядке, установленном ТК РФ, представлять интересы всех работников в социальном партнерстве на локальном уровне, на общем собрании (конференции) работников для осуществления указанных полномочий тайным голосованием может быть избран из числа работников иной представитель (представительный орган) – ст. 31 ТК РФ.

В тех учреждениях, где присутствует представитель работников, договорное регулирование трудовых отношений не ограничивается только индивидуальной формой (трудовым договором), а используется также коллективно-договорное регулирование.

Иногда работодатели считают, что отсутствие в учреждении коллективного договора предоставляет свободу усмотрения регулирования трудовых отношений, свободу от обязательств перед работниками. Но это заблуждение, поскольку на различных уровнях между органами исполнительной власти или местного самоуправления с профсоюзными организациями соответствующего уровня заключаются трехсторонние и двусторонние, межотраслевые и отраслевые соглашения по регулированию социально-трудовых отношений, обязательными для применения всеми учреждениями, в ведении которых они находятся. Даже теми, которые не имеют представительного органа работника, коллективного договора. Такие соглашения заключаются органами исполнительной власти и местного самоуправления только с профсоюзной стороной, представительство которой предусмотрено не только Трудовым кодексом РФ, но и специальным Федеральным законом “О профессиональных союзах, их правах и гарантиях деятельности”. Иные представители на таких уровнях социального партнерства не предусмотрены.

О важности коллективного договора

Может возникнуть вопрос, зачем коллективный договор, если есть соглашение?

Отрасли культуры, физкультуры и спорта, молодежной политики имеют свою специфику, равно как и внутри одной отрасли учреждения различаются по видам деятельности, по категориям работников. Применительно к этим сферам законодатель предусмотрел регулирование труда работников не только трудовым законодательством, но и коллективным договором, отсылки к которому есть в трудовом законодательстве.

Например, в отрасли культуры особенности регулирования труда творческих работников, их рабочего времени и времени отдыха (в том числе перерывов технологического и (или) организационного характера, продолжительности ежедневной работы (смены), работы в ночное время, выходные и нерабочие праздничные дни) наряду с законодательными актами устанавливаются коллективными договорами (ст. 351 ТК РФ). При этом трудовое законодательство вышеуказанные особенности детально не регулирует, поэтому необходимо использовать коллективный договор – локальный закон конкретного учреждения.

В отрасли спорта трудовое законодательство также отсылает к коллективному договору, предусматривая, что особенности регулирования труда спортсменов, тренеров  (режима рабочего времени, привлечения к сверхурочной работе, работе в ночное время, в выходные и нерабочие праздничные дни)  устанавливаются трудовым законодательством и иными нормативными правовыми актами, содержащими нормы трудового права, коллективными договорами, соглашениями, а также локальными нормативными актами, принимаемыми работодателями в соответствии с требованиями статьи 8 ТК РФ с учетом норм, утвержденных общероссийскими спортивными федерациями, и мнения выборного органа первичной профсоюзной организации (ст. 348.1 ТК РФ).

Сфера молодежной политики, несмотря на определенную специфику труда работников, вообще не урегулирована, за исключением ограничения на занятие трудовой деятельностью в сфере развития несовершеннолетних, организации их отдыха и оздоровления.

ТК РФ не может учитывать специфику трудовых отношений конкретной отрасли. Для этого в него законодатель включил целый раздел II “Социальное партнерство”, который находится сразу после общих положений ТК РФ, придав таким образом важное место системе взаимоотношений между работниками и работодателем в целях обеспечения согласования их интересов по вопросам регулирования трудовых отношений.

Обязательность и необходимость коллективного договора вытекает из содержания Трудового кодекса РФ. Так, в силу статей 135, 144 Трудового кодекса РФ системы оплаты труда, включая размеры тарифных ставок, окладов (должностных окладов), доплат и надбавок компенсационного характера, в том числе за работу в условиях, отклоняющихся от нормальных, системы доплат и надбавок стимулирующего характера и системы премирования работников государственных и муниципальных учреждений устанавливаются коллективными договорами, соглашениями, локальными нормативными актами в соответствии с законодательством разного уровня.

Аналогичные нормы содержатся в пункте 2 статьи 1 Закона Красноярского края от 29.10.2009 N 9-3864 “О системах оплаты труда работников краевых государственных учреждений”. Более того, в этом законе предусмотрено, что в коллективных договорах устанавливаются размеры окладов (должностных окладов), ставок заработной платы работникам. В них же могут детализироваться, конкретизироваться, дополняться и уточняться критерии оценки результативности и качества труда работников учреждений.

Система оплаты труда работников краевых государственных автономных учреждений также устанавливается коллективными договорами, соглашениями, локальными нормативными актами.

Статья 8 Закона края предусматривает, что заработная плата в соответствии с системами оплаты труда, определенными Законом, устанавливается работнику при наличии действующих коллективных договоров (их изменений), соглашений, локальных нормативных актов, устанавливающих систему оплаты труда в соответствии с трудовым законодательством, иными нормативными правовыми актами Российской Федерации и Красноярского края, содержащими нормы трудового права, и настоящим Законом.

Аналогичные нормы предусмотрены для муниципальных учреждений Красноярска вне зависимости от отрасли (постановление администрации г. Красноярска от 19.01.2010 N 1 “Об оплате труда работников муниципальных учреждений города Красноярска”).

Колдоговор – это не локальный нормативный акт

Ошибочно считать, что коллективный договор – это локальный нормативный акт (ЛНА) или последним можно заменить первый. Колдоговор не является ЛНА. Этот вывод следует из анализа ряда статей Трудового кодекса РФ: ст. 8, 68, 40.

Так, в силу ст. 68 ТК РФ при приеме на работу (до подписания трудового договора) работодатель обязан ознакомить работника под роспись с правилами внутреннего трудового распорядка, иными локальными нормативными актами, коллективным договором. Таким образом КД и ЛНА разные акты локального уровня, отличающиеся порядком принятия, содержанием, сроком действия и др.

Согласно статье 8 Трудового кодекса РФ работодатели принимают локальные нормативные акты в пределах своей компетенции в соответствии с трудовым законодательством и иными нормативными правовыми актами, содержащими нормы трудового права, коллективными договорами, соглашениями, а не наоборот. То есть законодатель наряду с государственными актами регулирования, определил приоритетную роль коллективно-договорного акта по сравнению с ЛНА.

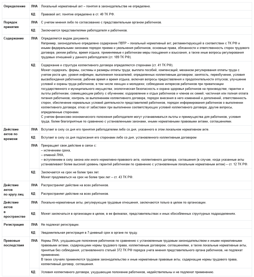
Чем отличается локальный нормативный акт от коллективного договора

-2

Коллективный договор дает дополнительные гарантии

В Трудовом кодексе РФ есть статьи, согласно которым работники могут претендовать на дополнительные гарантии, при условии, если они прописаны в коллективном договоре. Например, вот некоторые выдержки из Трудового кодекса:

“…Отраслевым (межотраслевым) соглашением и коллективным договором, при наличии письменного согласия работника, оформленного путем заключения отдельного соглашения к трудовому договору, может быть предусмотрено увеличение максимально допустимой продолжительности ежедневной работы (смены) по сравнению с продолжительностью ежедневной работы (смены), для работников, занятых на работах с вредными и (или) опасными условиями труда…”Статья 94. Продолжительность ежедневной работы (смены)
“…Работодатель обязан на основании письменного заявления работника предоставить отпуск без сохранения заработной платы… в других случаях, предусмотренных настоящим Кодексом, иными федеральными законами либо коллективным договором.”Статья 128. Отпуск без сохранения заработной платы
“…Заработная плата выплачивается работнику, как правило, в месте выполнения им работы либо переводится в кредитную организацию, указанную в заявлении работника, на условиях, определенных коллективным договором или трудовым договором…”Статья 136. Порядок, место и сроки выплаты заработной платы
“Работникам гарантируются:
…применение систем нормирования труда, определяемых работодателем с учетом мнения представительного органа работников или устанавливаемых коллективным договором.”Глава 22. Нормирование труда. Статья 159. Общие положения
“…Гарантии и компенсации работникам, совмещающим работу с обучением по не имеющим государственной аккредитации программам бакалавриата, программам специалитета или программам магистратуры, устанавливаются коллективным договором или трудовым договором.”Статья 173. Гарантии и компенсации работникам, совмещающим работу с получением высшего образования по программам бакалавриата, программам специалитета или программам магистратуры, и работникам, поступающим на обучение по указанным образовательным программам
Аналогично статье 173 ТК РФ.Статья 174.  Гарантии и компенсации работникам, совмещающим работу с получением среднего профессионального образования, и работникам, поступающим на обучение по образовательным программам среднего профессионального образования
“…Трудовым договором или коллективным договором могут предусматриваться другие случаи выплаты выходных пособий, а также устанавливаться повышенные размеры выходных пособий и (или) единовременной компенсации…”Статья 178. Выходные пособия. Выплата среднего месячного заработка за период трудоустройства или единовременной компенсации
“При сокращении численности или штата работников преимущественное право на оставление на работе предоставляется работникам с более высокой производительностью труда и квалификацией…
…Коллективным договором могут предусматриваться другие категории работников, пользующиеся преимущественным правом на оставление на работе при равной производительности труда и квалификации.”Статья 179. Преимущественное право на оставление на работе при сокращении численности или штата работников
“…Работодатель обязан в соответствии с трудовым законодательством и иными нормативными правовыми актами, содержащими нормы трудового права, коллективным договором, соглашениями, локальными нормативными актами, трудовым договором создавать условия, необходимые для соблюдения работниками дисциплины труда…”Статья 189. Дисциплина труда и трудовой распорядок
“…Подготовка работников и дополнительное профессиональное образование работников, направление работников (с их письменного согласия) на прохождение независимой оценки квалификации осуществляются работодателем на условиях и в порядке, которые определяются коллективным договором, соглашениями, трудовым договором…”Статья 196. Права и обязанности работодателя по подготовке и дополнительному профессиональному образованию работников, по направлению работников на прохождение независимой оценки квалификации
“Работнику, имеющему двух или более детей в возрасте до четырнадцати лет, работнику, имеющему ребенка-инвалида в возрасте до восемнадцати лет, одинокой матери, воспитывающей ребенка в возрасте до четырнадцати лет, отцу, воспитывающему ребенка в возрасте до четырнадцати лет без матери, работнику, осуществляющему уход за членом семьи или иным родственником, являющимися инвалидами I группы, коллективным договором могут устанавливаться ежегодные дополнительные отпуска без сохранения заработной платы в удобное для них время продолжительностью до 14 календарных дней…”Статья 263. Дополнительные отпуска без сохранения заработной платы лицам, осуществляющим уход за детьми, инвалидами

И в заключение. Достижение оптимального согласования интересов сторон трудовых отношений возможно благодаря коллективному договору и наличию законного представителя работников – первичной профсоюзной организации.

Коллективный договор – это локальный закон учреждения, принятый в рамках социального партнерства, он позволяет сторонам трудовых отношений разделить ответственность между собой за добровольно принятые обязательства.

Профсоюзная газета “Солидарность. Красноярский выпуск” №31-2023