Добавить в корзину
Позвонить
Найти в Дзене
Войти
Натуральный логарифм
3 подписчика
Подписаться
396-й вариант ЕГЭ Ларина
23 августа 2022
23 авг 2022
24
~1 мин
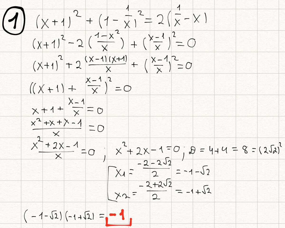
Разбор базовой части. Задавайте вопросы в комментариях, если что-то непонятно! №1 №2 №3 №4 №5 №6 №7 №8 №9 №10 №11
Разбор базовой части. Задавайте вопросы в комментариях, если что-то непонятно! №1 №2 №3 №4 №5 №6 №7 №8 №9 №10 №11
...
Читать далее
Разбор базовой части. Задавайте вопросы в комментариях, если что-то непонятно!
№1
№2
№3
№4
№5
№6
№7
№8
№9
№10
№11
2
2268503620.982.1779002002524.22770