Добавить в корзинуПозвонить
Найти в Дзене
Эффективная История

НЕСОСТОЯТЕЛЬНОСТЬ ТЕОРИИ ОТНОСИТЕЛЬНОСТИ ЭЙНШТЕЙНА. РАЗДЕЛ 4. ЧАСТЬ 6. АНАЛИЗ ФОРМУЛ

В предыдущей, 5 части настоящего раздела мы нашли действительный коэффициент преобразования координат в двух удаляющихся друг от друга системах. Однако А.Эйнштейна, как видно, это не устраивает, и он, по свойственной ему «логике», пытается определить (t`) как функцию от (x`, y, z, t): Для этой цели мы должны выразить с помощью некоторых соотношений, что (t`) по своему смыслу есть не что иное, как совокупность показаний, покоящихся в системе S` часов, которые… идут синхронно. Пусть из начала координат системы S`, в момент времени (t`0) посылается луч света вдоль оси X в точку (x`) и отражается оттуда в момент времени (t`1) назад, в начало координат системы S`, куда он приходит в момент времени (t`2); тогда должно существовать соотношение: - (1/2)( t`0 + t`2) = t`1 (1э) . где (t`1) есть время движения луча в прямом направлении (от точки А0 к точке B`1) в заданной системе S` . Соотношение (1э) записано А.Эйнштейном н

В предыдущей, 5 части настоящего раздела мы нашли действительный коэффициент преобразования координат в двух удаляющихся друг от друга системах.

Однако А.Эйнштейна, как видно, это не устраивает, и он, по свойственной ему «логике», пытается определить (t`) как функцию от (x`, y, z, t):

Для этой цели мы должны выразить с помощью некоторых соотношений, что (t`) по своему смыслу есть не что иное, как совокупность показаний, покоящихся в системе S` часов, которые… идут синхронно.
Пусть из начала координат системы S`, в момент времени (t`0) посылается луч света вдоль оси X в точку (x`) и отражается оттуда в момент времени (t`1) назад, в начало координат системы S`, куда он приходит в момент времени (t`2); тогда должно существовать соотношение:
- (1/2)( t`0 + t`2) = t`1 (1э)
.
где (t`1) есть время движения луча в прямом направлении (от точки А0 к точке B`1) в заданной системе S`

.

Соотношение (1э) записано А.Эйнштейном неправильно. Правильно должно быть:

- (1/2)( t`2 - t`0) = (t`1) (2э)

Напоминаем, что здесь соотношения (1э) и (2э) справедливы только при наблюдении за событиями изнутри системы «движущийся стержень», т.е. с точки зрения наблюдателя этой (как бы покоящейся) системы.

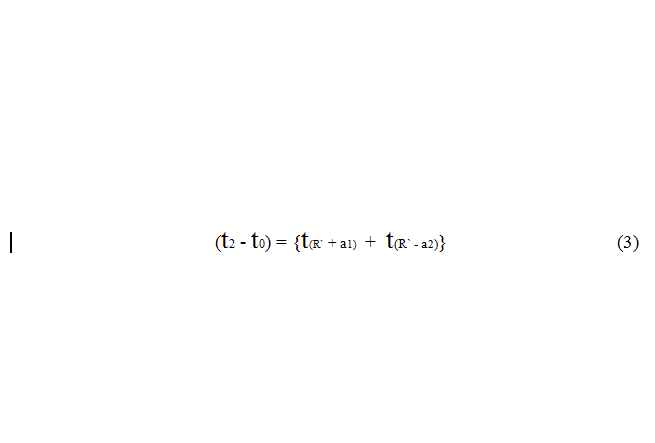
Рассматривая же движение луча света внутри движущегося стержня с точки зрения наблюдателя вне «стержневой» покоящейся системы, в которой [t (R + a1 > t (R - a2)], соотношение (2э) при (t`0 = t0 = 0) должно иметь вид:

Рисунок Автора
Рисунок Автора

Или

(t2) = {(t1)пр. - t0) + (t2)обр (3а)

Но в соотношениях (1э) и (2э), аргумента [(t2)обр = t(R - a2)] нет. Поэтому, немного забегая вперёд, мы увидим, в 7 части настоящего раздела, рассматривая аргумент (t`) с точки зрения вне «стержневой» покоящейся системы, Эйнштейн всё-таки поймёт это и введёт в эти (1э и 2э) соотношения указанный аргумент, однако неправомерно оставит при этом множитель [1/2].

Итак, нами было показано, что если рассматривать движение луча света внутри системы «движущийся стержень» с точки зрения вне «стержневой» покоящейся системы, то вместо соотношений (1э, 2э) надо брать равенства (3, 3а), т.е.

- tBH = (t B)пр - (t0) + (t B)обр (4)

или

tBH - {(tB)пр - (tB)обр} = t0 (4а)

где

t0 = t`A = 0;

[(tB)пр = t(R + a1) - t0];

[(tB)обр = t(R - a2)];

t2 = tAA` = tВH.

(продолжение следует)

Интерактивный каталог для ориентировании в серии публикаций доступен по ссылке.