Добавить в корзинуПозвонить
Найти в Дзене

ЕГЭ по физике. Задача 30 (10). Холодильная машина

Полное условие задачи Идеальная холодильная машина, работающая по обратному циклу Карно, отнимает от охлаждаемого тела с температурой -10° С 2,8 кДж теплоты и передает теплому телу с температурой +17° С. Определить КПД цикла, количество теплоты, переданное теплому телу за один цикл, и холодильный коэффициент машины. Краткое условие задачи Решение задачи Коэффициент полезного действия цикла найдем по формуле: Так как то имеем Выразим отсюда количество теплоты, переданное нагревателю за один цикл: Холодильный коэффициент машины равен: где тогда Ответ: 9,3 %; 3087 Дж; 9,8.

Полное условие задачи

Идеальная холодильная машина, работающая по обратному циклу Карно, отнимает от охлаждаемого тела с температурой -10° С 2,8 кДж теплоты и передает теплому телу с температурой +17° С. Определить КПД цикла, количество теплоты, переданное теплому телу за один цикл, и холодильный коэффициент машины.

Краткое условие задачи

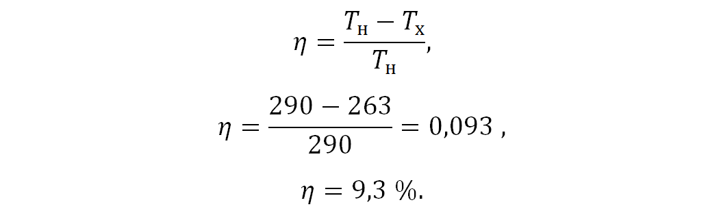
Решение задачи

Коэффициент полезного действия цикла найдем по формуле:

-2

Так как

-3

то имеем

-4

Выразим отсюда количество теплоты, переданное нагревателю за один цикл:

-5
-6

Холодильный коэффициент машины равен:

-7

где

-8

тогда

-9

Ответ: 9,3 %; 3087 Дж; 9,8.