Добавить в корзинуПозвонить
Найти в Дзене
Онлайн поневоле

Гаусс у меня на уроке

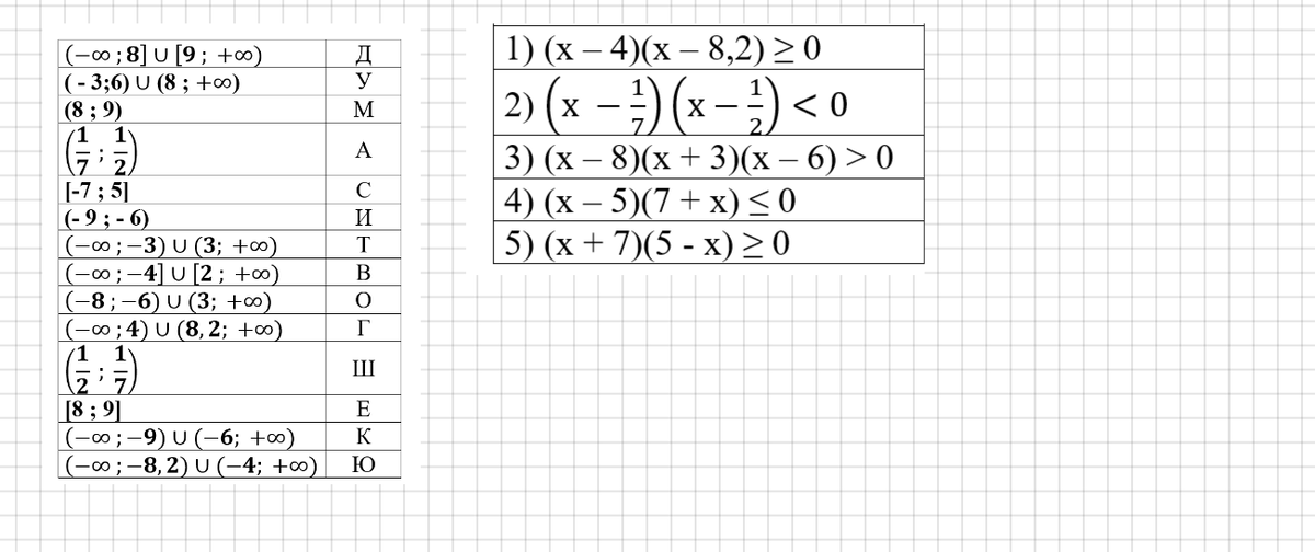
Вывожу на экран пять неравенств. Задание - прислать мне WhatsApp пятибуквенное слово, необязательно имеющее смысл, которое получилось после решения пяти неравенств.
Это будет слово "ГАУСС". Кто это? Знаете ли, что Карл Гаусс - король математики? А знаете, что он в 62 года выучил русский язык, чтобы читать Пушкина и Лобачевского в оригинале?
Ситуация вынудила стать учителем онлайн. Пришлось многому научиться. Понравилось. Теперь здесь на канале каждый день пишу краткое содержание одного онлайн урока на 45 минут или просто какую-нибудь фишку для онлайна.

Описание фрагмента урока по теме "Метод интервалов при решении квадратных неравенств":

1) Таблица ответов - на экране.

вывожу на экран пять неравенств. Задание - прислать мне WhatsApp пятибуквенное слово, необязательно имеющее смысл, которое получилось после решения пяти неравенств.

-2

Задание - необязательное. То есть, ученики уже знают, что можно получить какой-нибудь бонус, если выполнить верно задание.

2) Со всеми учениками, кто не вызвался решать самостоятельно, начинаем также решать. По скорости самых быстрых мы с классом успеем решить два неравенства подробно, с объяснением. И, возможно, одно устно.

Одно неравенство объясняет или один человек, или несколько (один корни находит, второй знаки на интервалах объясняет, третий формулирует ответ и обосновывает его).

-3

3) Момент проверки присланных ответов

Правильный ответ: ГАУСС

Были и неверные ответы, как полагается. Многие торопятся и решают быстро, но неправильно.

Обсудив ответы и разобрав поступившие вопросы по этим неравенствам, обязательно нужно поговорить о Карле Фридрихе Гауссе - короле математики. Еще в пятом классе каждый учитель математики обязательно рассказывает о талантливом мальчике, который, обучаясь в начальной школе, нашел сумму целых числе от 1 до 50:

-4

Многие ученики и в девятом классе достаточно быстро воспроизводят эту информацию. Разговор даже на онлайн уроке привлекает к обсуждению математики почти весь класс.

В 62 года Гаусс выучил русский язык! Чтобы читать Пушкина и Лобачевского в оригинале
В 62 года Гаусс выучил русский язык! Чтобы читать Пушкина и Лобачевского в оригинале

Если урок онлайн, то этот фрагмент на 20 минут, не меньше. Если офлайн - на 5-6 минут.

А далее - основная часть урока. Если онлайн, то уже письменная часть, чтобы ушел взгляд от монитора. Если офлайн - то усложнение материала по теме "Метод интервалов" или массированный тренинг (6 человек у доски с увеличением темпа и сложности).

Johann Carl Friedrich Gauß (1777 - 1855) — немецкий математик, механик, физик, астроном и геодезист. Считается одним из величайших математиков всех времён, «королём математиков»