Добавить в корзинуПозвонить
Найти в Дзене

Парадокс комплекса неполноценности.

Мни́мая едини́ца — комплексное число, квадрат которого равен −1 (минус единице).при этом Комплексное число — это выражение вида a + bi, где a, b — действительные числа, а i — так называемая мнимая единица.
Простенько и со вкусом определение самого себя при помощи самого себя. О сколько нам приемов левых сготовил примитивный дух.
(a + bi)(a + bi)=i =-1 согласно определению.
хорошая алгебра?
красиво можно чушь нести, а ведь выходит.
красиво можно чушь нести, а ведь выходит.

Мни́мая едини́ца — комплексное число, квадрат которого равен −1 (минус единице).при этом Комплексное число — это выражение вида a + bi, где a, b — действительные числа, а i — так называемая мнимая единица.

Простенько и со вкусом определение самого себя при помощи самого себя. О сколько нам приемов левых сготовил примитивный дух.

(a + bi)(a + bi)=i^2 =-1 согласно определению степени и комплексного числа.

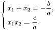
Господа! Решите уравнение (a  +  bi)(a  +  bi)=i^2 относительно мнимой,

скобочки раскроем

а^ 2+2abi+(b^2)(i^2)-i^2=a^2+2abi+(b^2-1)i^2=0 решите квадратное уравнение. корни найдите. можно сделать замены, получим классическое ax^2+bx+c=0

далее по стандартному алгоритму.

теорема Виета , все помнят?

-2

делаем обратные замены.

Ура! квадратных корней из -1 два: i и -i

Смотрим определение-явно не так.

приезжайте посчитать.

А есть ли по жизни числа, умножение которых само на себя давало бы отрицательное значение? ответ-таких чисел нет согласно правилам арифметики.

Усе. Пишите.