Найти в Дзене
Войти
1,0×
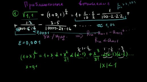
Как считать корни из некрасивых чисел с помощью разложения в ряд
164 просмотра · 4 года назад
00:00
/
28:18
Математика для хомяков
2858 подписчиков
Подписаться
Хотите видеть больше публикаций по теме «Образование»?
Давайте
Образование
4,84 млн интересуются
Следить за темой
1231360329.1710.1765087976573.17726