Найти в Дзене

Примеры решения типовых заданий ВПР. Задание №9. Вариант 9.

Оглавление

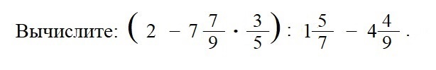
Условие задачи:

-2

Решение:

Уже в начальных классах школьники знают, что в выражениях без скобок действия выполняются слева направо, при этом сначала выполняется умножение и деление, а затем — сложение и вычитание.

В выражениях же со скобками сначала выполняются действия в скобках, а потом также по порядку слева направо выполняется умножение и деление, затем — сложение и вычитание.

Поэтому данный пример надо решать в четыре действия:

-3

У чисел 70 и 5 наибольший общий делитель равен 5, а у чисел 9 и 3 — 3. Пользуясь основным свойством дроби (§7) мы сократили числители и знаменатели множителей на их наибольшие общие делители.

Далее мы использовали правило умножения двух дробей.

-4

Для решения третьего действия мы использовали правило деления дробей.

У чисел 8 и 12 наибольший общий делитель равен 4. Пользуясь основным свойством дроби (§7) мы сократили числитель 8 и знаменатель 12 на 4 и получили вместо 8 — 2, а вместо 12 — 3.

-5