Найти в Дзене
N + 1

Физики обнаружили полудираковский фермион

  N+1; Yinming Shao et al. / Physical Review X, 2024
N+1; Yinming Shao et al. / Physical Review X, 2024

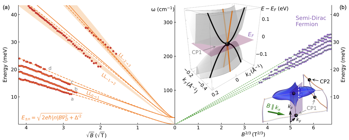
Физики обнаружили полудираковские фермионы в топологическом полуметалле силициде-сульфиде циркония (ZrSiS). Такие квазичастицы обладают массой при движении в одном направлении, но оказываются безмассовыми при распространении в перпендикулярном. Статья опубликована в Physical Review X.

Полудираковские фермионы — это уникальный класс квазичастиц, обладающих линейной дисперсией в одном направлении и квадратичной в перпендикулярном. Это определяет поразительное свойство таких квазичастиц — их масса зависит от направления движения, вплоть до безмассового состояния. Ученые предсказали существование таких квазичастиц около 16 лет назад, но до сих пор экспериментально их обнаружить не удавалось. Исследователи изучали свойства полудираковских фермионов только теоретически или в синтетических системах, таких как фотонные резонаторы и ультрахолодные атомы.

Группа ученых под руководством Дмитрия Басова (D. N. Basov) из Колумбийского университета экспериментально обнаружила полудираковские фермионы. Для этого авторы исследовали энергетические структуры в топологическом полуметалле ZrSiS при помощи магнитооптической спектроскопии. Физики исследовали спектры отражения в инфракрасной области, особенно пристально изучая провалы в спектрах, которые соответствуют поглощению из-за переходов между уровнями Ландау.

  Yinming Shao et al. / Physical Review X, 2024
Yinming Shao et al. / Physical Review X, 2024

Исследователи обнаружили, что уровни Ландау в силициде-сульфиде циркония ZrSiS подчиняются уникальной закономерности, масштабируемой пропорционально магнитному полю в степени 2/3, что является характерной особенностью полудираковских фермионов. Ученые показали, что эти фермионы возникают в точках пересечения узловых линий.

Экспериментальные данные физики подтвердили расчетами из первых принципов и при помощи компьютерного моделирования. По словам ученых, это первое экспериментальное доказательство существования подобного класса квазичастиц.

О том, какие еще бывают квазичастицы, читайте в нашем материале «На гибридной волне».