Найти в Дзене

Вещаем из самоизоляции. ОВР в общем виде в 35-м задании? Какой кошмар!!!

Вы хотите познавать химию и профессионально, и с удовольствием? Тогда вам сюда! Автор методики системно-аналитического изучения химии Богунова В.Г. раскрывает тайны решения задач, делится секретами мастерства при подготовке к ОГЭ, ЕГЭ, ДВИ и олимпиадам
Самое лучшее средство от ничегонеделания - работа. Утром встали, умылись, зубы почистила, сделали зарядку (для тела), выпили душистый чай с

Вы хотите познавать химию и профессионально, и с удовольствием? Тогда вам сюда! Автор методики системно-аналитического изучения химии Богунова В.Г. раскрывает тайны решения задач, делится секретами мастерства при подготовке к ОГЭ, ЕГЭ, ДВИ и олимпиадам

Самое лучшее средство от ничегонеделания - работа. Утром встали, умылись, зубы почистила, сделали зарядку (для тела), выпили душистый чай с плюшками от Фрекен Бок и... бодро-радостно переходите к интеллектуальным процедурам. Лучшая гимнастика для ума - это задачи по химии: и удивят, и порадуют, и бета-тета-ритм настроят. Не знаете что это такое? Приходите ко мне на занятия по анатомии и физиологии человека. Нейрофизиология - одна из моих многочисленных конфет. Много чего нового узнаете, много чему научитесь.

А теперь - о 35-й задаче. Мы уже привыкли к стандартным условиям: "сожгли органическое вещество, получили углекислый газ и воду...", "массовая доля углерода, водорода, кислорода в органическом веществе равна...". Такие 35-е идут вот уже несколько лет. Однако, были и другие времена, когда такого типа задачи выглядели, мягко сказано, не так, как сегодня. И все это вполне может повториться.

Я откопала из своей коллекции ряд "перлов". Постепенно представлю их. Лишним не будет. На ЕГЭ все может случиться...

35-е задание

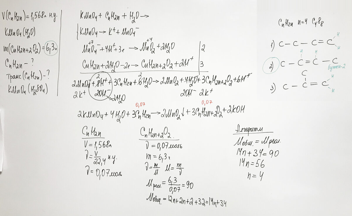
Смесь цис- и транс-изомеров алкена общим объемом 1,568 л (н. у.) пропустили через избыток водного раствора перманганата калия. Масса образовавшегося органического продукта составила 6,30 г. Установите молекулярную формулу углеводорода, изобразите структурную формулу транс-изомера и напишите уравнение его реакции с подкисленным раствором перманганата калия.
-2

Хочу провести небольшой ликбез по окислению алкенов в мягких условиях (перманганатом калия в нейтральной среде).

Окисление алкенов KMnO4 в нейтральной среде

Окисление алкена в нейтральной среде (мягкое окисление) при обычных условиях приводит к разрыву только π–связи, при этом образуется многоатомный спирт.
Русский химик Е.Е. Вагнер в 1888 г. установил, что если этилен окислять 1%-м водным раствором перманганата калия в нейтральной среде при комнатной температуре, образуется двухатомный спирт – этиленгликоль. В процессе окисления разрыву подвергается только π-связь молекулы алкена между атомами углерода, а σ-связь (более прочная) сохраняется.
Реакция оисления алкенов в нейтральной среде носит название реакции Вагнера. В ходе реакции происходит обесцвечивание фиолетовой окраски раствора перманганата калия KMnO4.
Реакция Вагнера является качественной реакцией на двойную связь.

Посмотрите небольшой фрагмент онлайн-занятия, на котором я объясняю написание уравнения окислительно-восстановительной реакции этилена с перманганатом калия в нейтральной среде с использованием технологии коррекции среды.

Еще больше учебного материала вы найдете на странице "Алкены" моего сайта "Репетитор по химии"

Понравилась задача? Скоро будет продолжение. Самое интересное, как всегда, впереди! Не болейте! Успехов и удачи! До встречи на Яндекс Дзен! Не забывайте подписаться на мой канал и поставить лайк за статью!

Репетитор по химии и биологии кбн В.Богунова